input word = C00054366

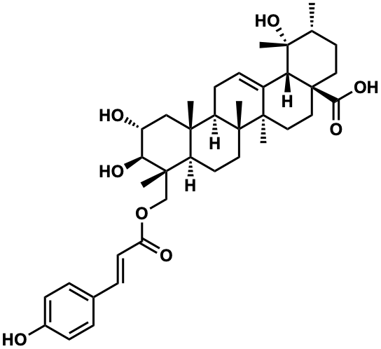
Metabolite InformationStructural formula
Name 23-trans-p-Coumaroyloxytormentic acid
Formula C39H54O8
Mw 650.3818687
CAS RN 144604-14-8
C_ID C00054366
InChIKey SWEBUECVVVXRRV-NUKDMGCPSA-N
InChICode InChI=1S/C39H54O8/c1-23-15-18-39(33(44)45)20-19-36(4)26(31(39)38(23,6)46)12-13-29-34(2)21-27(41)32(43)35(3,28(34)16-17-37(29,36)5)22-47-30(42)14-9-24-7-10-25(40)11-8-24/h7-12,14,23,27-29,31-32,40-41,43,46H,13,15-22H2,1-6H3,(H,44,45)/b14-9+/t23-,27-,28-,29-,31-,32+,34+,35+,36-,37-,38-,39+/m1/s1
SMILES C[C@@H]1CC[C@]2(C(=O)O)CC[C@]3(C)C(=CC[C@@H]4[C@@]5(C)C[C@@H](O)[C@H](O)[C@@](C)(COC(=O)/C=C/c6ccc(O)cc6)[C@@H]5CC[C@]43C)[C@@H]2[C@]1(C)O
Start Substs in Alk. Biosynthesis (Prediction)
Organism
Kingdom Family Species Reference
PlantaeRosaceaeEriobotrya japonica Ref.
zoom in