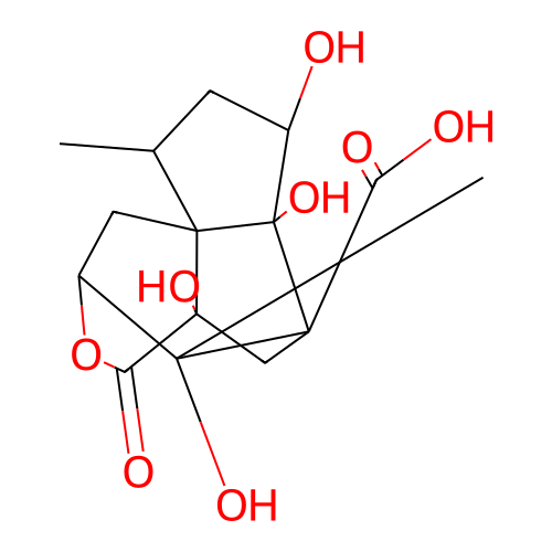
| Name |
Anisatinic acid |
| Formula |
C15H20O8 |
| Mw |
328.11581762 |
| CAS RN |
17548-49-1 |
| C_ID |
C00060385
|
| InChIKey |
WZRIFMZEPDZQQU-UHFFFAOYSA-N |
| InChICode |
InChI=1S/C15H20O8/c1-6-3-7(16)15(22)12(6)4-8-11(2,20)13(15,9(17)18)5-14(12,21)10(19)23-8/h6-8,16,20-22H,3-5H2,1-2H3,(H,17,18) |
| SMILES |
CC1CC(O)C2(O)C3(C(=O)O)CC4(O)C(=O)OC(CC142)C3(C)O |
| Start Substs in Alk. Biosynthesis (Prediction) |
|
| Organism |
| Kingdom |
Family |
Species |
Reference |
| Plantae | Illiciaceae | Illicium anisatum  | Ref. |
|
|
zoom in
|