input word = C00058726

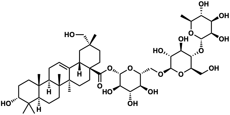
Metabolite InformationStructural formula
Name Spinoside C1
Formula C48H78O18
Mw 942.51881569
CAS RN 153287-89-9
C_ID C00058726
InChIKey QMIBWALTTZKWNN-OMAXGHDUSA-N
InChICode InChI=1S/C48H78O18/c1-22-30(52)32(54)35(57)40(62-22)65-38-25(19-49)63-39(37(59)34(38)56)61-20-26-31(53)33(55)36(58)41(64-26)66-42(60)48-16-14-44(4,21-50)18-24(48)23-8-9-28-45(5)12-11-29(51)43(2,3)27(45)10-13-47(28,7)46(23,6)15-17-48/h8,22,24-41,49-59H,9-21H2,1-7H3/t22-,24-,25+,26+,27-,28+,29+,30-,31+,32+,33-,34+,35+,36+,37+,38+,39+,40-,41-,44+,45-,46+,47+,48-/m0/s1
SMILES C[C@@H]1O[C@@H](O[C@H]2[C@H](O)[C@@H](O)[C@H](OC[C@H]3O[C@@H](OC(=O)[C@]45CC[C@@](C)(CO)C[C@H]4C4=CC[C@@H]6[C@@]7(C)CC[C@@H](O)C(C)(C)[C@@H]7CC[C@@]6(C)[C@]4(C)CC5)[C@H](O)[C@@H](O)[C@@H]3O)O[C@@H]2CO)[C@H](O)[C@H](O)[C@H]1O
Start Substs in Alk. Biosynthesis (Prediction)
Organism
Kingdom Family Species Reference
PlantaeAraliaceaeAcanthopanax spinosus Ref.
zoom in