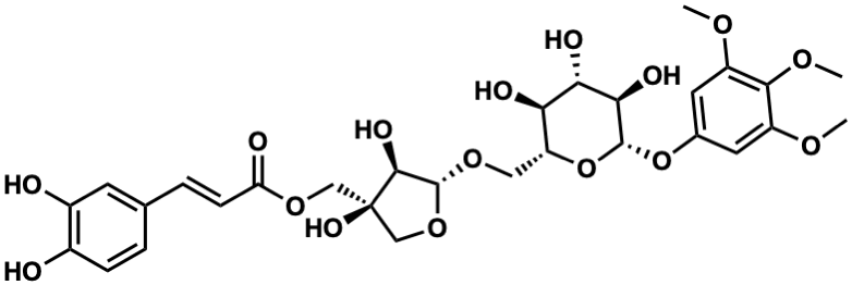
| Name |
Kelampayoside B |
| Formula |
C29H36O16 |
| Mw |
640.20033511 |
| CAS RN |
178494-12-7 |
| C_ID |
C00058562
|
| InChIKey |
CKCXDLPHBUFZPH-YVQWANQJSA-N |
| InChICode |
InChI=1S/C29H36O16/c1-38-18-9-15(10-19(39-2)25(18)40-3)44-27-24(35)23(34)22(33)20(45-27)11-41-28-26(36)29(37,13-43-28)12-42-21(32)7-5-14-4-6-16(30)17(31)8-14/h4-10,20,22-24,26-28,30-31,33-37H,11-13H2,1-3H3/b7-5+/t20-,22-,23+,24-,26+,27-,28-,29-/m1/s1 |
| SMILES |
COc1cc(O[C@@H]2O[C@H](CO[C@@H]3OC[C@](O)(COC(=O)/C=C/c4ccc(O)c(O)c4)[C@H]3O)[C@@H](O)[C@H](O)[C@H]2O)cc(OC)c1OC |
| Start Substs in Alk. Biosynthesis (Prediction) |
|
| Organism |
| Kingdom |
Family |
Species |
Reference |
| Plantae | Rubiaceae | Anthocephalus chinensis  | Ref. |
|
|
zoom in
|