input word = C00058514

Metabolite InformationStructural formula
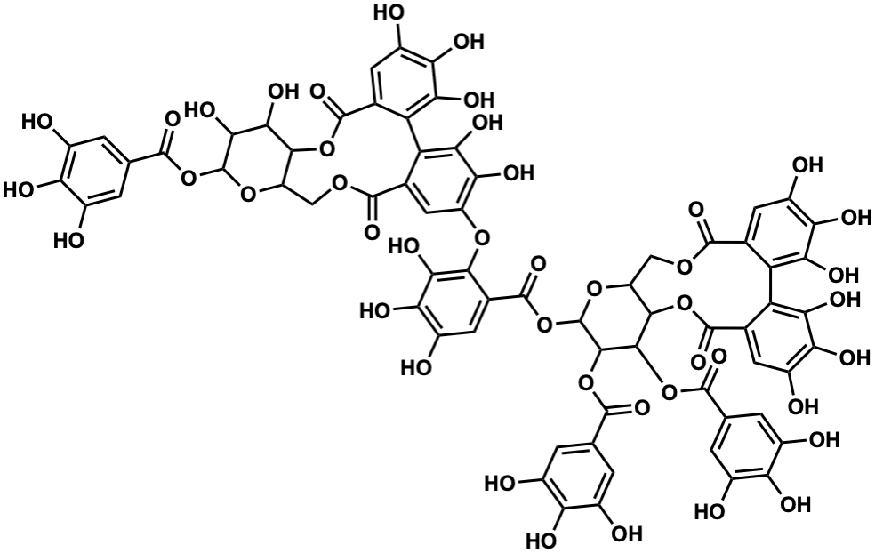
Name Heterophylliin F
Formula C68H50O44
Mw 1570.16749498
CAS RN 211190-39-5
C_ID C00058514
InChIKey MCGBUJRCIHNSPF-UHFFFAOYSA-N
InChICode InChI=1S/C68H50O44/c69-22-1-14(2-23(70)39(22)79)59(94)109-57-56-34(13-103-62(97)17-7-28(75)42(82)47(87)35(17)36-19(65(100)108-56)9-30(77)43(83)48(36)88)106-68(58(57)110-60(95)15-3-24(71)40(80)25(72)4-15)112-66(101)21-10-31(78)45(85)51(91)54(21)104-32-11-20-38(50(90)46(32)86)37-18(8-29(76)44(84)49(37)89)64(99)107-55-33(12-102-63(20)98)105-67(53(93)52(55)92)111-61(96)16-5-26(73)41(81)27(74)6-16/h1-11,33-34,52-53,55-58,67-93H,12-13H2
SMILES O=C(OC1OC2COC(=O)c3cc(Oc4c(C(=O)OC5OC6COC(=O)c7cc(O)c(O)c(O)c7-c7c(cc(O)c(O)c7O)C(=O)OC6C(OC(=O)c6cc(O)c(O)c(O)c6)C5OC(=O)c5cc(O)c(O)c(O)c5)cc(O)c(O)c4O)c(O)c(O)c3-c3c(cc(O)c(O)c3O)C(=O)OC2C(O)C1O)c1cc(O)c(O)c(O)c1
Start Substs in Alk. Biosynthesis (Prediction)
Organism
Kingdom Family Species Reference
PlantaeBetulaceaeCorylus heterophylla Ref.
zoom in