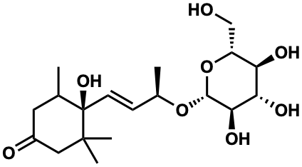
| Name |
Dihydroroseoside |
| Formula |
C19H32O8 |
| Mw |
388.209718 |
| CAS RN |
351343-53-8 |
| C_ID |
C00058461
|
| InChIKey |
QFTPTUOKFIIFJH-UPZLIFTJSA-N |
| InChICode |
InChI=1S/C19H32O8/c1-10-7-12(21)8-18(3,4)19(10,25)6-5-11(2)26-17-16(24)15(23)14(22)13(9-20)27-17/h5-6,10-11,13-17,20,22-25H,7-9H2,1-4H3/b6-5+/t10?,11-,13-,14-,15+,16-,17-,19-/m1/s1 |
| SMILES |
CC1CC(=O)CC(C)(C)[C@@]1(O)/C=C/[C@@H](C)O[C@@H]1O[C@H](CO)[C@@H](O)[C@H](O)[C@H]1O |
| Start Substs in Alk. Biosynthesis (Prediction) |
|
| Organism |
| Kingdom |
Family |
Species |
Reference |
| Plantae | Betulaceae | Betula platyphylla var. japonica | Ref. |
|
|
zoom in
|