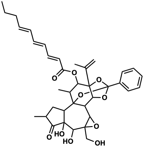
| Name |
Daphne factor P2 |
| Formula |
C37H44O10 |
| Mw |
648.29344763 |
| CAS RN |
71252-72-7 |
| C_ID |
C00058441
|
| InChIKey |
WDTQMUHLTIKXFS-JXXNAEBBSA-N |
| InChICode |
InChI=1S/C37H44O10/c1-6-7-8-9-10-11-15-18-26(39)43-29-23(5)36-25-19-22(4)28(40)34(25,42)32(41)33(20-38)30(44-33)27(36)31-35(29,21(2)3)46-37(45-31,47-36)24-16-13-12-14-17-24/h8-18,22-23,25,27,29-32,38,41-42H,2,6-7,19-20H2,1,3-5H3/b9-8+,11-10+,18-15+ |
| SMILES |
C=C(C)C12OC3(c4ccccc4)OC1C1C4OC4(CO)C(O)C4(O)C(=O)C(C)CC4C1(O3)C(C)C2OC(=O)/C=C/C=C/C=C/CCC |
| Start Substs in Alk. Biosynthesis (Prediction) |
|
| Organism |
| Kingdom |
Family |
Species |
Reference |
| Plantae | Thymelaeaceae | Daphne papyracea | Ref. |
|
|
zoom in
|