input word = C00058436

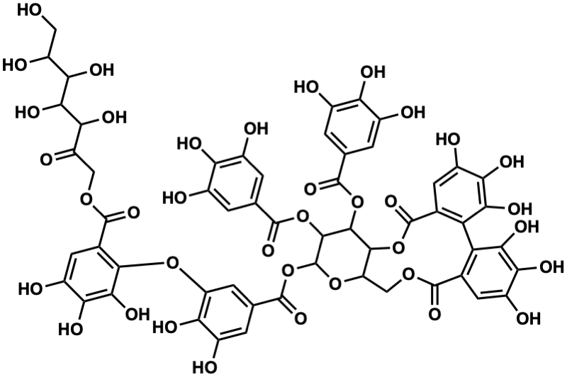
Metabolite InformationStructural formula
Name Coriariin I
Formula C55H46O37
Mw 1298.17179249
CAS RN 147899-43-2
C_ID C00058436
InChIKey CYFRUEGDRYOWNU-UHFFFAOYSA-N
InChICode InChI=1S/C55H46O37/c56-10-27(65)39(73)43(77)40(74)28(66)11-85-53(83)18-9-26(64)38(72)44(78)45(18)87-29-6-15(5-23(61)35(29)69)51(81)92-55-48(91-50(80)14-3-21(59)34(68)22(60)4-14)47(90-49(79)13-1-19(57)33(67)20(58)2-13)46-30(88-55)12-86-52(82)16-7-24(62)36(70)41(75)31(16)32-17(54(84)89-46)8-25(63)37(71)42(32)76/h1-9,27,30,39-40,43,46-48,55-65,67-78H,10-12H2
SMILES O=C(OC1OC2COC(=O)c3cc(O)c(O)c(O)c3-c3c(cc(O)c(O)c3O)C(=O)OC2C(OC(=O)c2cc(O)c(O)c(O)c2)C1OC(=O)c1cc(O)c(O)c(O)c1)c1cc(O)c(O)c(Oc2c(C(=O)OCC(=O)C(O)C(O)C(O)C(O)CO)cc(O)c(O)c2O)c1
Start Substs in Alk. Biosynthesis (Prediction)
Organism
Kingdom Family Species Reference
PlantaeCoriariaceaeCoriaria japonica Ref.
zoom in