input word = C00058435

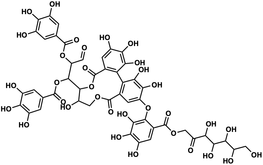
Metabolite InformationStructural formula
Name Coriariin H
Formula C48H42O33
Mw 1146.16083388
CAS RN 147934-11-0
C_ID C00058435
InChIKey FILNGPAPWRGZAX-UHFFFAOYSA-N
InChICode InChI=1S/C48H42O33/c49-8-23(57)34(64)39(69)35(65)24(58)10-76-47(74)16-6-22(56)33(63)40(70)41(16)78-26-7-15-29(38(68)36(26)66)28-14(5-21(55)32(62)37(28)67)48(75)80-42(25(59)11-77-46(15)73)43(81-45(72)13-3-19(53)31(61)20(54)4-13)27(9-50)79-44(71)12-1-17(51)30(60)18(52)2-12/h1-7,9,23,25,27,34-35,39,42-43,49,51-57,59-70H,8,10-11H2
SMILES O=CC(OC(=O)c1cc(O)c(O)c(O)c1)C(OC(=O)c1cc(O)c(O)c(O)c1)C1OC(=O)c2cc(O)c(O)c(O)c2-c2c(cc(Oc3c(C(=O)OCC(=O)C(O)C(O)C(O)C(O)CO)cc(O)c(O)c3O)c(O)c2O)C(=O)OCC1O
Start Substs in Alk. Biosynthesis (Prediction)
Organism
Kingdom Family Species Reference
PlantaeCoriariaceaeCoriaria japonica Ref.
zoom in