input word = C00058434

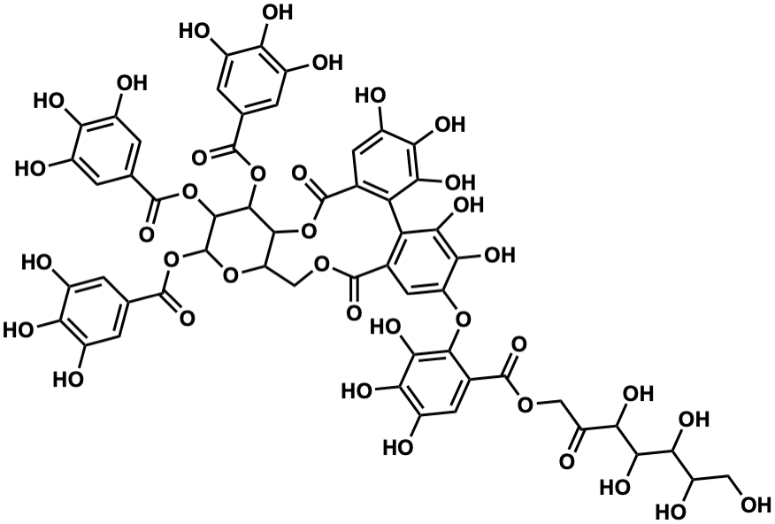
Metabolite InformationStructural formula
Name Coriariin G
Formula C55H46O37
Mw 1298.17179249
CAS RN 147899-42-1
C_ID C00058434
InChIKey RAOVIGQASOEDAT-UHFFFAOYSA-N
InChICode InChI=1S/C55H46O37/c56-10-27(65)38(72)43(77)39(73)28(66)11-85-53(83)18-8-26(64)37(71)44(78)45(18)87-29-9-17-32(42(76)40(29)74)31-16(7-25(63)36(70)41(31)75)54(84)89-46-30(12-86-52(17)82)88-55(92-51(81)15-5-23(61)35(69)24(62)6-15)48(91-50(80)14-3-21(59)34(68)22(60)4-14)47(46)90-49(79)13-1-19(57)33(67)20(58)2-13/h1-9,27,30,38-39,43,46-48,55-65,67-78H,10-12H2
SMILES O=C(OC1OC2COC(=O)c3cc(Oc4c(C(=O)OCC(=O)C(O)C(O)C(O)C(O)CO)cc(O)c(O)c4O)c(O)c(O)c3-c3c(cc(O)c(O)c3O)C(=O)OC2C(OC(=O)c2cc(O)c(O)c(O)c2)C1OC(=O)c1cc(O)c(O)c(O)c1)c1cc(O)c(O)c(O)c1
Start Substs in Alk. Biosynthesis (Prediction)
Organism
Kingdom Family Species Reference
PlantaeCoriariaceaeCoriaria japonica Ref.
zoom in