input word = C00058398

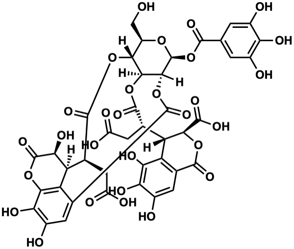
Metabolite InformationStructural formula
Name Carpinusnin
Formula C41H34O29
Mw 990.11857513
CAS RN 142543-15-5
C_ID C00058398
InChIKey HNJGNQFGAVPUIQ-CMNCTBKUSA-N
InChICode InChI=1S/C41H34O29/c42-7-17-29-32(68-39(62)12(6-19(49)50)23-20-9(3-15(45)25(52)27(20)54)36(59)67-31(23)34(56)57)33(41(64-17)70-35(58)8-1-13(43)24(51)14(44)2-8)69-37(60)10-4-16(46)26(53)30-22(10)21(28(55)40(63)66-30)11(5-18(47)48)38(61)65-29/h1-4,11-12,17,21,23,28-29,31-33,41-46,51-55H,5-7H2,(H,47,48)(H,49,50)(H,56,57)/t11-,12-,17+,21-,23-,28-,29+,31-,32-,33+,41-/m0/s1
SMILES O=C(O)C[C@H](C(=O)O[C@@H]1[C@H]2OC(=O)c3cc(O)c(O)c4c3[C@@H]([C@H](O)C(=O)O4)[C@H](CC(=O)O)C(=O)O[C@@H]1[C@@H](CO)O[C@H]2OC(=O)c1cc(O)c(O)c(O)c1)[C@H]1c2c(cc(O)c(O)c2O)C(=O)O[C@@H]1C(=O)O
Start Substs in Alk. Biosynthesis (Prediction)
Organism
Kingdom Family Species Reference
PlantaeBetulaceaeCarpinus axiflora Ref.
PlantaePhyllanthaceaePhyllanthus emblica Ref.
zoom in