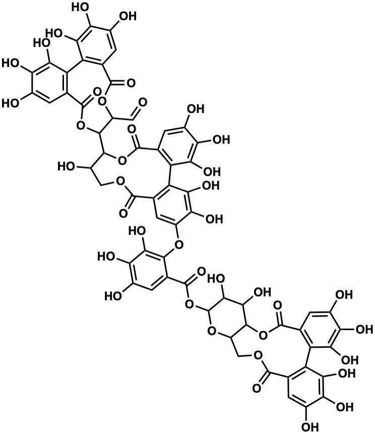
input word = C00058357

Metabolite InformationStructural formula
Name Alnusjaponin A
Formula C61H44O40
Mw 1416.1408863
CAS RN 145274-70-0
C_ID C00058357
InChIKey LDFWSFYBLOMBNR-UHFFFAOYSA-N
InChICode InChI=1S/C61H44O40/c62-8-26-53(100-59(91)15-5-22(67)37(73)44(80)31(15)29-12(56(88)96-26)2-19(64)35(71)42(29)78)51-24(69)9-93-55(87)16-7-25(40(76)46(82)33(16)32-13(57(89)98-51)3-20(65)38(74)45(32)81)95-50-17(6-23(68)39(75)47(50)83)60(92)101-61-49(85)48(84)52-27(97-61)10-94-54(86)11-1-18(63)34(70)41(77)28(11)30-14(58(90)99-52)4-21(66)36(72)43(30)79/h1-8,24,26-27,48-49,51-53,61,63-85H,9-10H2
SMILES O=CC1OC(=O)c2cc(O)c(O)c(O)c2-c2c(cc(O)c(O)c2O)C(=O)OC1C1OC(=O)c2cc(O)c(O)c(O)c2-c2c(cc(Oc3c(C(=O)OC4OC5COC(=O)c6cc(O)c(O)c(O)c6-c6c(cc(O)c(O)c6O)C(=O)OC5C(O)C4O)cc(O)c(O)c3O)c(O)c2O)C(=O)OCC1O
Start Substs in Alk. Biosynthesis (Prediction)
Organism
Kingdom Family Species Reference
PlantaeBetulaceaeAlnus japonica Ref.
zoom in