input word = C00058294

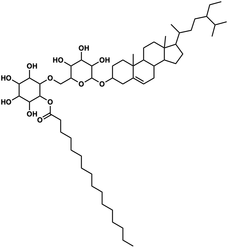
Metabolite InformationStructural formula
Name Sitoindoside IV
Formula C57H100O12
Mw 976.72147866
CAS RN 98941-86-7
C_ID C00058294
InChIKey IWPRSBXDWFAINE-UHFFFAOYSA-N
InChICode InChI=1S/C57H100O12/c1-8-10-11-12-13-14-15-16-17-18-19-20-21-22-45(58)69-54-51(64)49(62)48(61)50(63)53(54)66-34-44-46(59)47(60)52(65)55(68-44)67-39-29-31-56(6)38(33-39)25-26-40-42-28-27-41(57(42,7)32-30-43(40)56)36(5)23-24-37(9-2)35(3)4/h25,35-37,39-44,46-55,59-65H,8-24,26-34H2,1-7H3
SMILES CCCCCCCCCCCCCCCC(=O)OC1C(O)C(O)C(O)C(O)C1OCC1OC(OC2CCC3(C)C(=CCC4C3CCC3(C)C(C(C)CCC(CC)C(C)C)CCC43)C2)C(O)C(O)C1O
Start Substs in Alk. Biosynthesis (Prediction)
Organism
Kingdom Family Species Reference
PlantaeMusaceaeMusa paradisiaca Ref.
zoom in