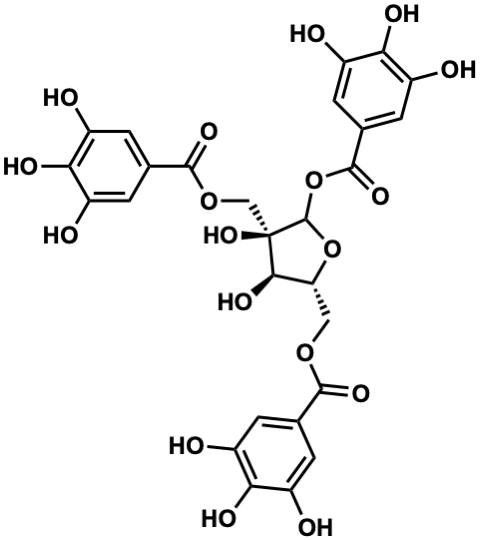
| Name |
1,2',5-Tri-O-galloylhamamelofuranose |
| Formula |
C27H24O18 |
| Mw |
636.09626397 |
| CAS RN |
90275-99-3 |
| C_ID |
C00058254
|
| InChIKey |
LSTGMXWAKWGYPI-MJXKLJOQSA-N |
| InChICode |
InChI=1S/C27H24O18/c28-12-1-9(2-13(29)19(12)34)23(38)42-7-18-22(37)27(41,8-43-24(39)10-3-14(30)20(35)15(31)4-10)26(44-18)45-25(40)11-5-16(32)21(36)17(33)6-11/h1-6,18,22,26,28-37,41H,7-8H2/t18-,22-,26?,27-/m1/s1 |
| SMILES |
O=C(OC[C@H]1OC(OC(=O)c2cc(O)c(O)c(O)c2)[C@@](O)(COC(=O)c2cc(O)c(O)c(O)c2)[C@@H]1O)c1cc(O)c(O)c(O)c1 |
| Start Substs in Alk. Biosynthesis (Prediction) |
|
| Organism |
| Kingdom |
Family |
Species |
Reference |
| Plantae | Fagaceae | Castanea crenata  | Ref. |
|
|
zoom in
|