input word = C00058049

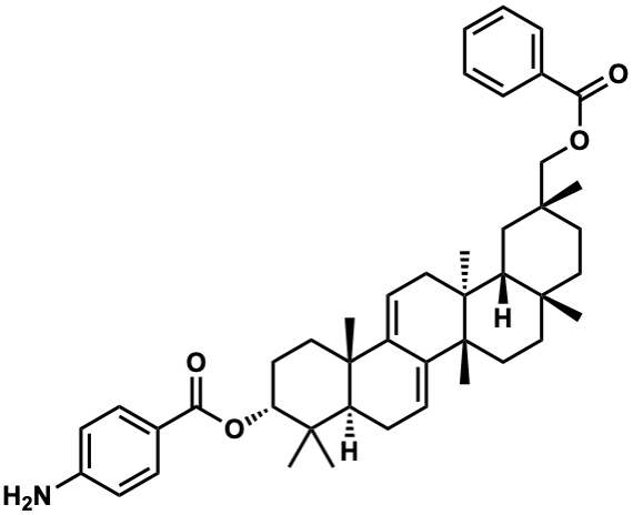
Metabolite InformationStructural formula
Name Zucchini factor B
Formula C44H57NO4
Mw 663.42875931
CAS RN 246248-10-2
C_ID C00058049
InChIKey VKNUHXUEPNYSDN-GJSTXJOSSA-N
InChICode InChI=1S/C44H57NO4/c1-39(2)34-18-17-33-32(42(34,5)21-20-36(39)49-38(47)30-13-15-31(45)16-14-30)19-22-44(7)35-27-40(3,23-24-41(35,4)25-26-43(33,44)6)28-48-37(46)29-11-9-8-10-12-29/h8-17,19,34-36H,18,20-28,45H2,1-7H3/t34-,35+,36+,40+,41+,42+,43+,44-/m0/s1
SMILES CC1(C)[C@H](OC(=O)c2ccc(N)cc2)CC[C@]2(C)C3=CC[C@@]4(C)[C@@H]5C[C@](C)(COC(=O)c6ccccc6)CC[C@]5(C)CC[C@]4(C)C3=CC[C@@H]12
Start Substs in Alk. Biosynthesis (Prediction)
Organism
Kingdom Family Species Reference
PlantaeCucurbitaceaeCucurbita maxima Ref.
PlantaeCucurbitaceaeCucurbita pepo Ref.
zoom in