input word = C00058036

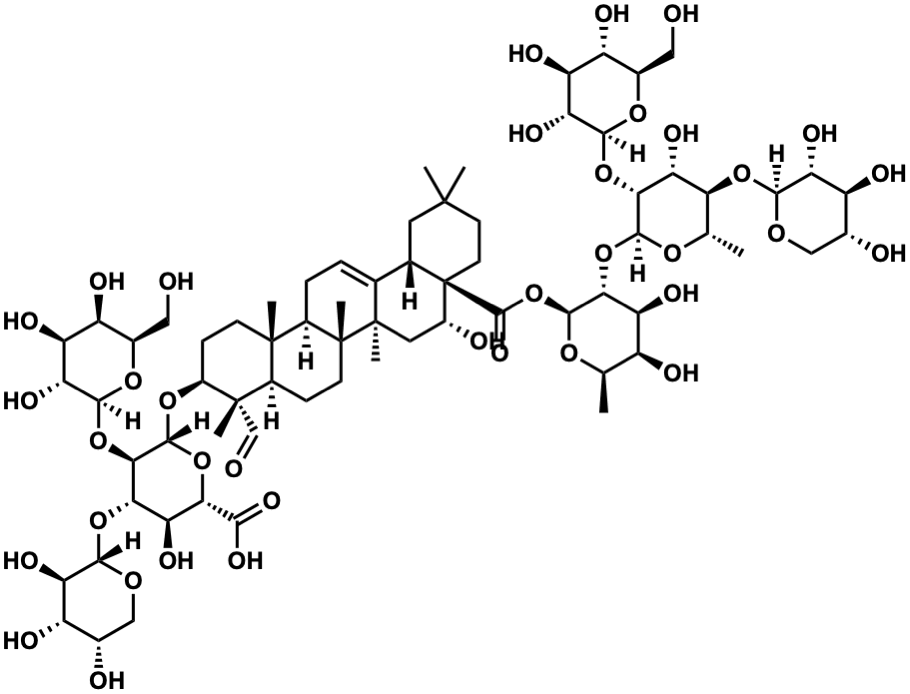
Metabolite InformationStructural formula
Name Silenoside C
Formula C70H110O37
Mw 1542.67259453
CAS RN 229484-45-1
C_ID C00058036
InChIKey CXYICQJQCAFDTE-FUHFYKSKSA-N
InChICode InChI=1S/C70H110O37/c1-24-36(77)43(84)53(105-61-54(104-59-46(87)41(82)39(80)30(19-71)98-59)48(89)50(25(2)97-61)101-57-44(85)37(78)28(74)21-94-57)62(96-24)107-64(93)70-16-15-65(3,4)17-27(70)26-9-10-33-66(5)13-12-35(67(6,23-73)32(66)11-14-68(33,7)69(26,8)18-34(70)76)100-63-55(106-60-47(88)42(83)40(81)31(20-72)99-60)51(49(90)52(103-63)56(91)92)102-58-45(86)38(79)29(75)22-95-58/h9,23-25,27-55,57-63,71-72,74-90H,10-22H2,1-8H3,(H,91,92)/t24-,25+,27+,28-,29+,30-,31-,32-,33-,34-,35+,36+,37+,38+,39-,40+,41+,42+,43+,44-,45-,46-,47-,48-,49+,50+,51+,52+,53-,54-,55-,57+,58+,59+,60+,61+,62+,63-,66+,67+,68-,69-,70-/m1/s1
SMILES C[C@@H]1O[C@@H](O[C@H]2[C@H](OC(=O)[C@]34CCC(C)(C)C[C@H]3C3=CC[C@@H]5[C@@]6(C)CC[C@H](O[C@@H]7O[C@H](C(=O)O)[C@@H](O)[C@H](O[C@@H]8OC[C@H](O)[C@H](O)[C@H]8O)[C@H]7O[C@@H]7O[C@H](CO)[C@H](O)[C@H](O)[C@H]7O)[C@@](C)(C=O)[C@@H]6CC[C@@]5(C)[C@]3(C)C[C@H]4O)O[C@H](C)[C@H](O)[C@@H]2O)[C@H](O[C@@H]2O[C@H](CO)[C@@H](O)[C@H](O)[C@H]2O)[C@H](O)[C@H]1O[C@@H]1OC[C@@H](O)[C@H](O)[C@H]1O
Start Substs in Alk. Biosynthesis (Prediction)
Organism
Kingdom Family Species Reference
PlantaeCaryophyllaceaeSilene vulgaris Ref.
zoom in