input word = C00058019

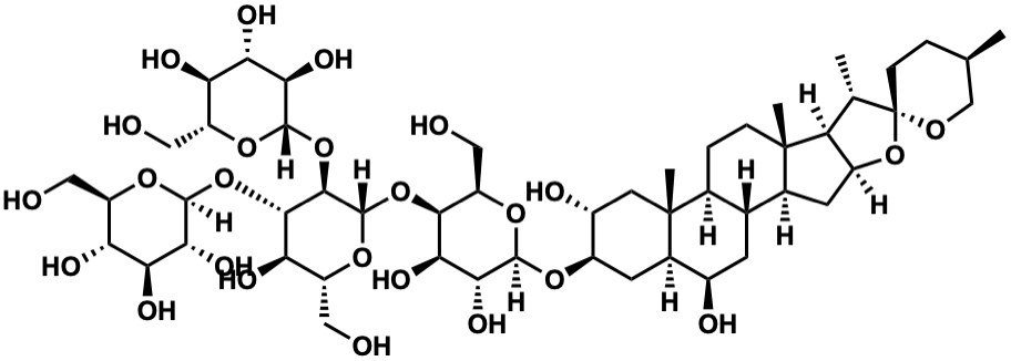
Metabolite InformationStructural formula
Name Yayoisaponin C
Formula C51H84O25
Mw 1096.53016824
CAS RN 218934-75-9
C_ID C00058019
InChIKey IFCJNJJMBPXNRD-QYOAHGBESA-N
InChICode InChI=1S/C51H84O25/c1-18-5-8-51(67-17-18)19(2)32-27(76-51)10-22-20-9-24(56)23-11-26(25(57)12-50(23,4)21(20)6-7-49(22,32)3)68-45-41(66)38(63)42(31(16-55)72-45)73-48-44(75-47-40(65)37(62)34(59)29(14-53)70-47)43(35(60)30(15-54)71-48)74-46-39(64)36(61)33(58)28(13-52)69-46/h18-48,52-66H,5-17H2,1-4H3/t18-,19+,20-,21+,22+,23-,24-,25-,26-,27+,28-,29-,30-,31-,32+,33-,34-,35-,36+,37+,38-,39-,40-,41-,42+,43+,44-,45-,46+,47+,48+,49+,50-,51-/m1/s1
SMILES C[C@@H]1CC[C@@]2(OC1)O[C@H]1C[C@H]3[C@@H]4C[C@@H](O)[C@H]5C[C@@H](O[C@@H]6O[C@H](CO)[C@H](O[C@@H]7O[C@H](CO)[C@@H](O)[C@H](O[C@@H]8O[C@H](CO)[C@@H](O)[C@H](O)[C@H]8O)[C@H]7O[C@@H]7O[C@H](CO)[C@@H](O)[C@H](O)[C@H]7O)[C@H](O)[C@H]6O)[C@H](O)C[C@]5(C)[C@H]4CC[C@]3(C)[C@H]1[C@@H]2C
Start Substs in Alk. Biosynthesis (Prediction)
Organism
Kingdom Family Species Reference
PlantaeAlliaceaeAllium ampeloprasum Ref.
PlantaeAlliaceaeAllium leucanthum Ref.
zoom in