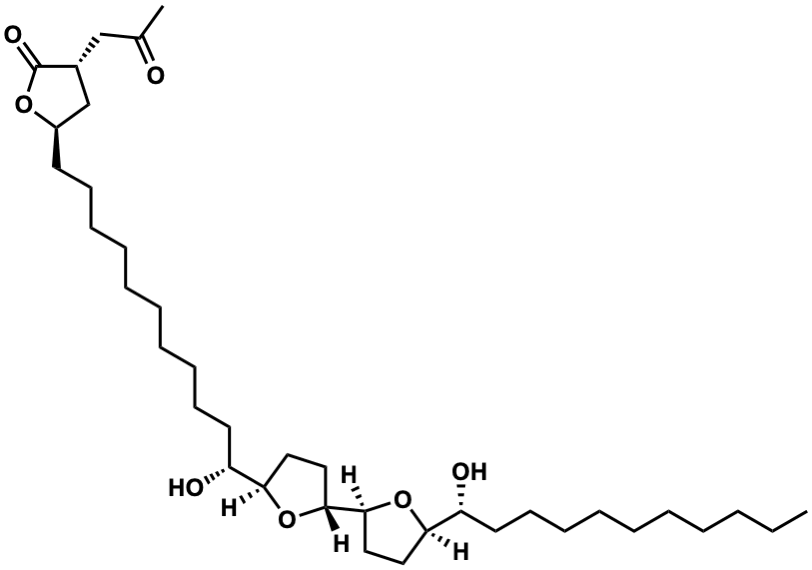
| Name |
2,4-trans-Trilobacinone |
| Formula |
C37H66O7 |
| Mw |
622.48085446 |
| CAS RN |
189686-32-6 |
| C_ID |
C00057995
|
| InChIKey |
KGGVWMAPBXIMEM-KJZDSQOESA-N |
| InChICode |
InChI=1S/C37H66O7/c1-3-4-5-6-7-11-14-17-20-31(39)33-22-24-35(43-33)36-25-23-34(44-36)32(40)21-18-15-12-9-8-10-13-16-19-30-27-29(26-28(2)38)37(41)42-30/h29-36,39-40H,3-27H2,1-2H3/t29-,30-,31-,32-,33-,34-,35+,36-/m1/s1 |
| SMILES |
CCCCCCCCCC[C@@H](O)[C@H]1CC[C@@H]([C@H]2CC[C@H]([C@H](O)CCCCCCCCCC[C@@H]3C[C@@H](CC(C)=O)C(=O)O3)O2)O1 |
| Start Substs in Alk. Biosynthesis (Prediction) |
|
| Organism |
| Kingdom |
Family |
Species |
Reference |
| Plantae | Annonaceae | Asimina triloba  | Ref. |
|
|
zoom in
|