input word = C00057985

Metabolite InformationStructural formula
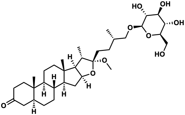
Name Torvoside G
Formula C34H56O9
Mw 608.39243339
CAS RN 184777-22-8
C_ID C00057985
InChIKey BDENGJXHUIIQRH-IQAJSEAWSA-N
InChICode InChI=1S/C34H56O9/c1-18(17-41-31-30(39)29(38)28(37)26(16-35)42-31)8-13-34(40-5)19(2)27-25(43-34)15-24-22-7-6-20-14-21(36)9-11-32(20,3)23(22)10-12-33(24,27)4/h18-20,22-31,35,37-39H,6-17H2,1-5H3/t18-,19-,20-,22+,23-,24-,25-,26+,27-,28+,29-,30+,31+,32-,33-,34+/m0/s1
SMILES CO[C@]1(CC[C@H](C)CO[C@@H]2O[C@H](CO)[C@@H](O)[C@H](O)[C@H]2O)O[C@H]2C[C@H]3[C@@H]4CC[C@H]5CC(=O)CC[C@]5(C)[C@H]4CC[C@]3(C)[C@H]2[C@@H]1C
Start Substs in Alk. Biosynthesis (Prediction)
Organism
Kingdom Family Species Reference
PlantaeSolanaceaeSolanum torvum Ref.
zoom in