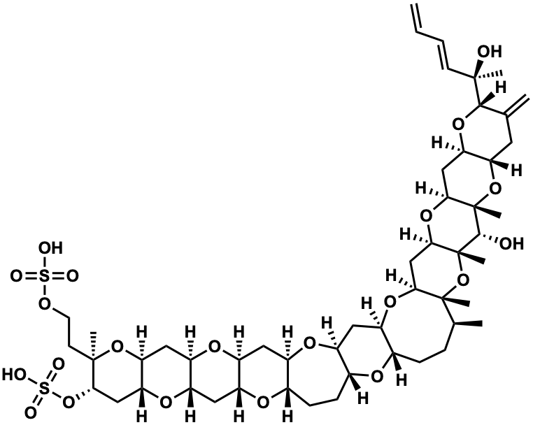
| Name |
45,46,47-Trinoryessotoxin |
| Formula |
C52H78O21S2 |
| Mw |
1102.44770102 |
| CAS RN |
181365-95-7 |
| C_ID |
C00057977
|
| InChIKey |
TWOUYIYQUFXMOK-DKTCPIBWSA-N |
| InChICode |
InChI=1S/C52H78O21S2/c1-9-10-15-48(4,54)46-26(2)18-40-39(68-46)24-43-51(7,71-40)47(53)52(8)45(69-43)25-44-50(6,73-52)27(3)11-12-28-33(67-44)19-31-29(62-28)13-14-30-32(64-31)20-35-34(63-30)21-36-37(65-35)22-41-38(66-36)23-42(72-75(58,59)60)49(5,70-41)16-17-61-74(55,56)57/h9-10,15,27-47,53-54H,1-2,11-14,16-25H2,3-8H3,(H,55,56,57)(H,58,59,60)/b15-10+/t27-,28-,29+,30-,31-,32+,33+,34+,35-,36-,37+,38+,39+,40-,41-,42-,43-,44-,45+,46-,47-,48+,49+,50+,51-,52+/m0/s1 |
| SMILES |
C=C/C=C/[C@@](C)(O)[C@H]1O[C@@H]2C[C@@H]3O[C@@H]4C[C@@H]5O[C@@H]6C[C@@H]7O[C@@H]8C[C@@H]9O[C@@H]%10C[C@@H]%11O[C@](C)(CCOS(=O)(=O)O)[C@@H](OS(=O)(=O)O)C[C@H]%11O[C@H]%10C[C@H]9O[C@H]8CC[C@H]7O[C@H]6CC[C@H](C)[C@@]5(C)O[C@@]4(C)[C@@H](O)[C@@]3(C)O[C@H]2CC1=C |
| Start Substs in Alk. Biosynthesis (Prediction) |
|
| Organism |
| Kingdom |
Family |
Species |
Reference |
| - | - | Patinopecten yessoensis  | Ref. |
|
|
zoom in
|