input word = C00057933

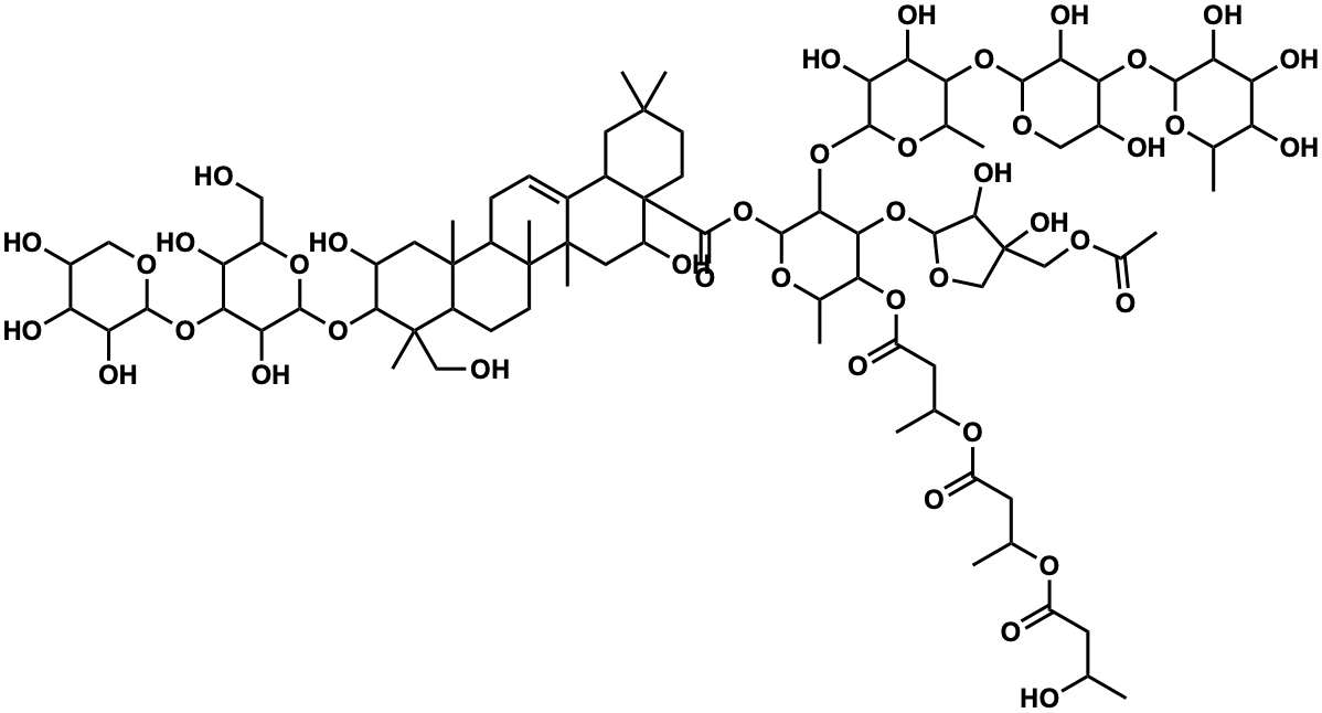
Metabolite InformationStructural formula
Name Solidagosaponin XXIII
Formula C83H132O42
Mw 1800.81931835
CAS RN 156280-06-7
C_ID C00057933
InChIKey ILJXBLGUYWIGAZ-UHFFFAOYSA-N
InChICode InChI=1S/C83H132O42/c1-32(86)20-48(92)112-33(2)21-49(93)113-34(3)22-50(94)118-62-37(6)116-74(66(65(62)122-75-67(105)82(107,31-111-75)30-110-38(7)87)123-72-58(102)55(99)61(36(5)115-72)119-70-59(103)63(43(90)28-109-70)120-71-57(101)54(98)51(95)35(4)114-71)125-76(106)83-19-18-77(8,9)23-40(83)39-14-15-46-78(10)24-41(88)68(79(11,29-85)45(78)16-17-80(46,12)81(39,13)25-47(83)91)124-73-60(104)64(53(97)44(26-84)117-73)121-69-56(100)52(96)42(89)27-108-69/h14,32-37,40-47,51-75,84-86,88-91,95-105,107H,15-31H2,1-13H3
SMILES CC(=O)OCC1(O)COC(OC2C(OC(=O)CC(C)OC(=O)CC(C)OC(=O)CC(C)O)C(C)OC(OC(=O)C34CCC(C)(C)CC3C3=CCC5C6(C)CC(O)C(OC7OC(CO)C(O)C(OC8OCC(O)C(O)C8O)C7O)C(C)(CO)C6CCC5(C)C3(C)CC4O)C2OC2OC(C)C(OC3OCC(O)C(OC4OC(C)C(O)C(O)C4O)C3O)C(O)C2O)C1O
Start Substs in Alk. Biosynthesis (Prediction)
Organism
Kingdom Family Species Reference
PlantaeAsteraceaeSolidago virga-aurea Ref.
zoom in