input word = C00057927

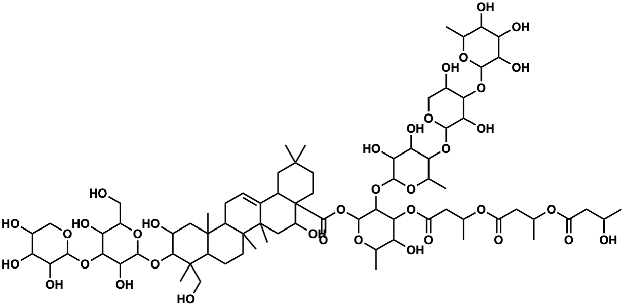
Metabolite InformationStructural formula
Name Solidagosaponin XXII
Formula C76H122O37
Mw 1626.76649492
CAS RN 156250-51-0
C_ID C00057927
InChIKey OBDPONRIQMZTDO-UHFFFAOYSA-N
InChICode InChI=1S/C76H122O37/c1-29(79)19-44(84)101-30(2)20-45(85)102-31(3)21-46(86)107-61-48(88)33(5)104-69(62(61)111-67-55(95)52(92)58(34(6)105-67)108-65-56(96)59(39(82)27-100-65)109-66-54(94)51(91)47(87)32(4)103-66)113-70(98)76-18-17-71(7,8)22-36(76)35-13-14-42-72(9)23-37(80)63(73(10,28-78)41(72)15-16-74(42,11)75(35,12)24-43(76)83)112-68-57(97)60(50(90)40(25-77)106-68)110-64-53(93)49(89)38(81)26-99-64/h13,29-34,36-43,47-69,77-83,87-97H,14-28H2,1-12H3
SMILES CC(O)CC(=O)OC(C)CC(=O)OC(C)CC(=O)OC1C(O)C(C)OC(OC(=O)C23CCC(C)(C)CC2C2=CCC4C5(C)CC(O)C(OC6OC(CO)C(O)C(OC7OCC(O)C(O)C7O)C6O)C(C)(CO)C5CCC4(C)C2(C)CC3O)C1OC1OC(C)C(OC2OCC(O)C(OC3OC(C)C(O)C(O)C3O)C2O)C(O)C1O
Start Substs in Alk. Biosynthesis (Prediction)
Organism
Kingdom Family Species Reference
PlantaeAsteraceaeSolidago virga-aurea Ref.
zoom in