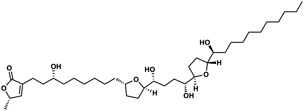
| Name |
Squamostanin D |
| Formula |
C37H66O8 |
| Mw |
638.47576908 |
| CAS RN |
1248334-28-2 |
| C_ID |
C00057837
|
| InChIKey |
LXQWICXPBCTWOM-QCOSUQLYSA-N |
| InChICode |
InChI=1S/C37H66O8/c1-3-4-5-6-7-8-9-14-17-31(39)35-24-25-36(45-35)33(41)22-21-32(40)34-23-20-30(44-34)16-13-11-10-12-15-29(38)19-18-28-26-27(2)43-37(28)42/h26-27,29-36,38-41H,3-25H2,1-2H3/t27-,29+,30-,31-,32+,33+,34+,35+,36+/m0/s1 |
| SMILES |
CCCCCCCCCC[C@H](O)[C@H]1CC[C@H]([C@H](O)CC[C@@H](O)[C@H]2CC[C@H](CCCCCC[C@@H](O)CCC3=C[C@H](C)OC3=O)O2)O1 |
| Start Substs in Alk. Biosynthesis (Prediction) |
|
| Organism |
| Kingdom |
Family |
Species |
Reference |
| Plantae | Annonaceae | Annona squamosa  | Ref. |
|
|
zoom in
|