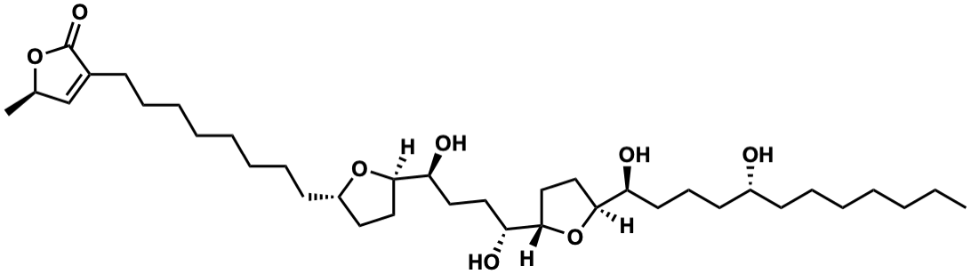
| Name |
Squamostanin A |
| Formula |
C37H66O8 |
| Mw |
638.47576908 |
| CAS RN |
1207186-96-6 |
| C_ID |
C00057825
|
| InChIKey |
RWQXMMPWGQDJFK-OCTQYEBLSA-N |
| InChICode |
InChI=1S/C37H66O8/c1-3-4-5-8-12-16-29(38)17-14-19-31(39)35-24-25-36(45-35)33(41)22-21-32(40)34-23-20-30(44-34)18-13-10-7-6-9-11-15-28-26-27(2)43-37(28)42/h26-27,29-36,38-41H,3-25H2,1-2H3/t27-,29-,30+,31+,32+,33-,34-,35+,36+/m1/s1 |
| SMILES |
CCCCCCC[C@@H](O)CCC[C@H](O)[C@@H]1CC[C@@H]([C@H](O)CC[C@H](O)[C@H]2CC[C@H](CCCCCCCCC3=C[C@@H](C)OC3=O)O2)O1 |
| Start Substs in Alk. Biosynthesis (Prediction) |
|
| Organism |
| Kingdom |
Family |
Species |
Reference |
| Plantae | Annonaceae | Annona squamosa  | Ref. |
|
|
zoom in
|