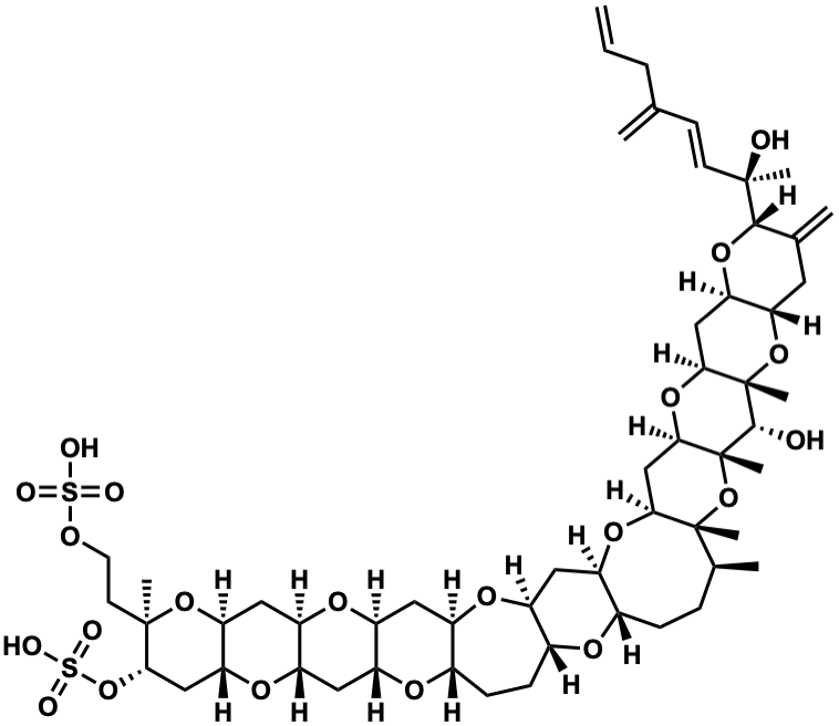
input word = C00057773

Metabolite InformationStructural formula
Name Yessotoxin
Formula C55H82O21S2
Mw 1142.47900114
CAS RN 112514-54-2
C_ID C00057773
InChIKey GGXFDWRPWARGKE-KFZQRXFSSA-N
InChICode InChI=1S/C55H82O21S2/c1-10-11-28(2)16-17-51(5,57)49-29(3)20-43-42(71-49)26-46-54(8,74-43)50(56)55(9)48(72-46)27-47-53(7,76-55)30(4)12-13-31-36(70-47)21-34-32(65-31)14-15-33-35(67-34)22-38-37(66-33)23-39-40(68-38)24-44-41(69-39)25-45(75-78(61,62)63)52(6,73-44)18-19-64-77(58,59)60/h10,16-17,30-50,56-57H,1-3,11-15,18-27H2,4-9H3,(H,58,59,60)(H,61,62,63)/b17-16+/t30-,31-,32+,33-,34-,35+,36+,37+,38-,39-,40+,41+,42+,43-,44-,45-,46-,47-,48+,49-,50-,51+,52+,53+,54-,55+/m0/s1
SMILES C=CCC(=C)/C=C/[C@@](C)(O)[C@H]1O[C@@H]2C[C@@H]3O[C@@H]4C[C@@H]5O[C@@H]6C[C@@H]7O[C@@H]8C[C@@H]9O[C@@H]%10C[C@@H]%11O[C@](C)(CCOS(=O)(=O)O)[C@@H](OS(=O)(=O)O)C[C@H]%11O[C@H]%10C[C@H]9O[C@H]8CC[C@H]7O[C@H]6CC[C@H](C)[C@@]5(C)O[C@@]4(C)[C@@H](O)[C@@]3(C)O[C@H]2CC1=C
Start Substs in Alk. Biosynthesis (Prediction)
Organism
Kingdom Family Species Reference
--Patinopecten yessoensis Ref.
--Toxic scallops Ref.
zoom in