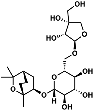
| Name |
Zansimuloside A |
| Formula |
C21H36O11 |
| Mw |
464.22576199 |
| CAS RN |
1082606-94-7 |
| C_ID |
C00057764
|
| InChIKey |
SFDNWSCFCRWISC-GJPIQFBBSA-N |
| InChICode |
InChI=1S/C21H36O11/c1-19(2)10-4-5-20(3,32-19)12(6-10)31-17-15(25)14(24)13(23)11(30-17)7-28-18-16(26)21(27,8-22)9-29-18/h10-18,22-27H,4-9H2,1-3H3/t10-,11+,12+,13+,14-,15+,16-,17-,18+,20+,21+/m0/s1 |
| SMILES |
CC1(C)O[C@]2(C)CC[C@H]1C[C@H]2O[C@@H]1O[C@H](CO[C@@H]2OC[C@](O)(CO)[C@H]2O)[C@@H](O)[C@H](O)[C@H]1O |
| Start Substs in Alk. Biosynthesis (Prediction) |
|
| Organism |
| Kingdom |
Family |
Species |
Reference |
| Plantae | Rutaceae | Zanthoxylum simulans | Ref. |
|
|
zoom in
|