input word = C00057726

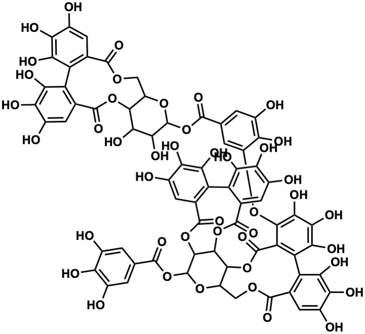
Metabolite InformationStructural formula
Name Sanguiin H10
Formula C68H48O44
Mw 1568.15184491
CAS RN 98975-05-4
C_ID C00057726
InChIKey GMFLQAPBSLUKQB-UHFFFAOYSA-N
InChICode InChI=1S/C68H48O44/c69-19-1-12(2-20(70)37(19)77)59(94)112-68-58-57(109-64(99)17-8-25(75)41(81)46(86)32(17)33-18(65(100)110-58)9-26(76)42(82)47(33)87)55-29(106-68)11-103-62(97)15-6-23(73)43(83)48(88)34(15)35-36(66(101)108-55)56(51(91)50(90)49(35)89)104-27-4-13(3-21(71)38(27)78)60(95)111-67-53(93)52(92)54-28(105-67)10-102-61(96)14-5-22(72)39(79)44(84)30(14)31-16(63(98)107-54)7-24(74)40(80)45(31)85/h1-9,28-29,52-55,57-58,67-93H,10-11H2
SMILES O=C(OC1OC2COC(=O)c3cc(O)c(O)c(O)c3-c3c(cc(O)c(O)c3O)C(=O)OC2C(O)C1O)c1cc(O)c(O)c(Oc2c(O)c(O)c(O)c3c2C(=O)OC2C(COC(=O)c4cc(O)c(O)c(O)c4-3)OC(OC(=O)c3cc(O)c(O)c(O)c3)C3OC(=O)c4cc(O)c(O)c(O)c4-c4c(cc(O)c(O)c4O)C(=O)OC23)c1
Start Substs in Alk. Biosynthesis (Prediction)
Organism
Kingdom Family Species Reference
PlantaeRosaceaeSanguisorba officinalis Ref.
zoom in