input word = C00057695

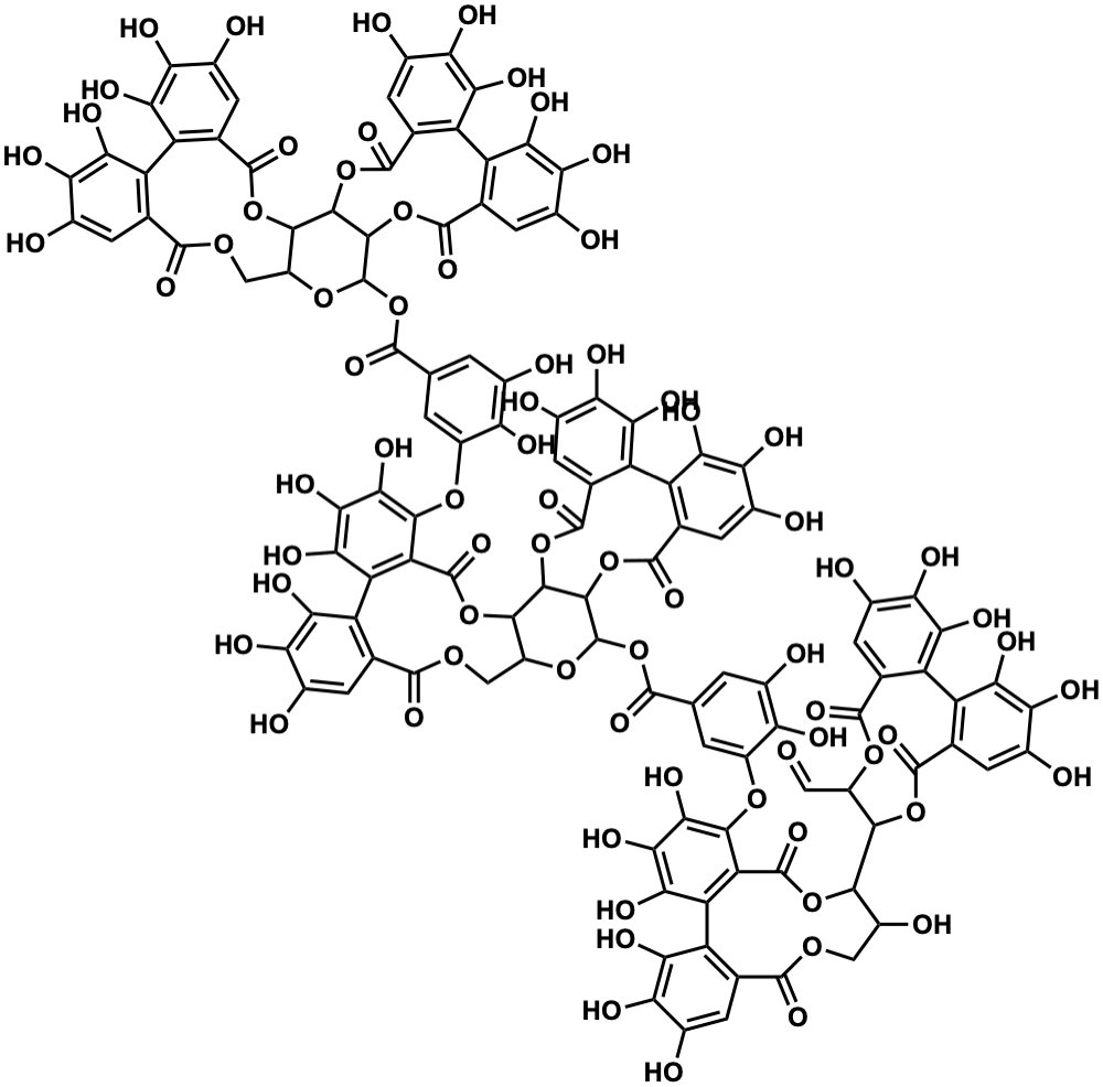
Metabolite InformationStructural formula
Name Rubusuaviin D
Formula C116H76O74
Mw 2652.21838447
CAS RN 957467-79-7
C_ID C00057695
InChIKey JROUBWLCYHODIE-UHFFFAOYSA-N
InChICode InChI=1S/C116H76O74/c117-15-46-92(182-107(165)26-10-38(125)68(136)78(146)52(26)50-24(106(164)178-46)8-36(123)66(134)76(50)144)91-43(130)16-173-103(161)22-6-34(121)73(141)83(151)57(22)59-61(113(171)181-91)95(89(157)87(155)85(59)153)176-44-3-19(1-31(118)63(44)131)102(160)190-116-100-98(186-110(168)28-12-40(127)70(138)80(148)54(28)56-30(112(170)188-100)14-42(129)72(140)82(56)150)94-48(180-116)18-175-105(163)23-7-35(122)74(142)84(152)58(23)60-62(114(172)184-94)96(90(158)88(156)86(60)154)177-45-4-20(2-32(119)64(45)132)101(159)189-115-99-97(185-109(167)27-11-39(126)69(137)79(147)53(27)55-29(111(169)187-99)13-41(128)71(139)81(55)149)93-47(179-115)17-174-104(162)21-5-33(120)65(133)75(143)49(21)51-25(108(166)183-93)9-37(124)67(135)77(51)145/h1-15,43,46-48,91-94,97-100,115-116,118-158H,16-18H2
SMILES O=CC1OC(=O)c2cc(O)c(O)c(O)c2-c2c(cc(O)c(O)c2O)C(=O)OC1C1OC(=O)c2c(Oc3cc(C(=O)OC4OC5COC(=O)c6cc(O)c(O)c(O)c6-c6c(O)c(O)c(O)c(Oc7cc(C(=O)OC8OC9COC(=O)c%10cc(O)c(O)c(O)c%10-c%10c(cc(O)c(O)c%10O)C(=O)OC9C9OC(=O)c%10cc(O)c(O)c(O)c%10-c%10c(cc(O)c(O)c%10O)C(=O)OC89)cc(O)c7O)c6C(=O)OC5C5OC(=O)c6cc(O)c(O)c(O)c6-c6c(cc(O)c(O)c6O)C(=O)OC45)cc(O)c3O)c(O)c(O)c(O)c2-c2c(cc(O)c(O)c2O)C(=O)OCC1O
Start Substs in Alk. Biosynthesis (Prediction)
Organism
Kingdom Family Species Reference
PlantaeRosaceaeRubus suavissimus Ref.
zoom in