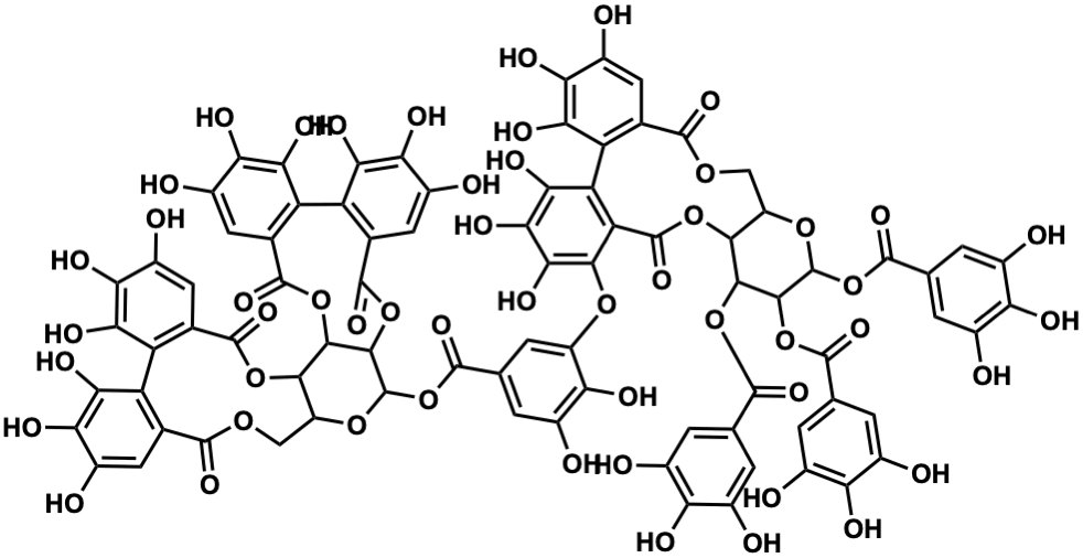
input word = C00057694

Metabolite InformationStructural formula
Name Rubusuaviin B
Formula C82H56O52
Mw 1872.17376215
CAS RN 957467-77-5
C_ID C00057694
InChIKey PPVLCXUQLQUUOO-UHFFFAOYSA-N
InChICode InChI=1S/C82H56O52/c83-25-1-16(2-26(84)47(25)95)71(112)129-67-65-39(126-81(133-73(114)18-5-29(87)49(97)30(88)6-18)69(67)131-72(113)17-3-27(85)48(96)28(86)4-17)15-123-76(117)21-10-33(91)55(103)60(108)44(21)45-46(80(121)128-65)66(63(111)62(110)61(45)109)124-37-8-19(7-31(89)50(37)98)74(115)134-82-70-68(130-78(119)23-12-35(93)53(101)58(106)42(23)43-24(79(120)132-70)13-36(94)54(102)59(43)107)64-38(125-82)14-122-75(116)20-9-32(90)51(99)56(104)40(20)41-22(77(118)127-64)11-34(92)52(100)57(41)105/h1-13,38-39,64-65,67-70,81-111H,14-15H2
SMILES O=C(OC1OC2COC(=O)c3cc(O)c(O)c(O)c3-c3c(O)c(O)c(O)c(Oc4cc(C(=O)OC5OC6COC(=O)c7cc(O)c(O)c(O)c7-c7c(cc(O)c(O)c7O)C(=O)OC6C6OC(=O)c7cc(O)c(O)c(O)c7-c7c(cc(O)c(O)c7O)C(=O)OC56)cc(O)c4O)c3C(=O)OC2C(OC(=O)c2cc(O)c(O)c(O)c2)C1OC(=O)c1cc(O)c(O)c(O)c1)c1cc(O)c(O)c(O)c1
Start Substs in Alk. Biosynthesis (Prediction)
Organism
Kingdom Family Species Reference
PlantaeRosaceaeRubus suavissimus Ref.
zoom in