input word = C00057678

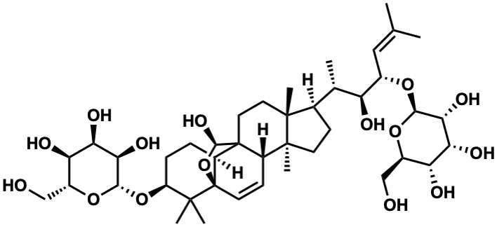
Metabolite InformationStructural formula
Name Momordicoside O
Formula C42H68O15
Mw 812.4558215
CAS RN 944711-22-2
C_ID C00057678
InChIKey YBUHKMAFVUJFCY-DRZVWCGDSA-N
InChICode InChI=1S/C42H68O15/c1-19(2)16-22(53-35-33(50)31(48)29(46)23(17-43)54-35)28(45)20(3)21-10-12-40(7)25-11-13-42-26(41(25,37(52)57-42)15-14-39(21,40)6)8-9-27(38(42,4)5)56-36-34(51)32(49)30(47)24(18-44)55-36/h11,13,16,20-37,43-52H,8-10,12,14-15,17-18H2,1-7H3/t20-,21+,22-,23+,24+,25-,26-,27-,28-,29+,30+,31+,32+,33+,34+,35+,36-,37+,39+,40-,41?,42+/m0/s1
SMILES CC(C)=C[C@H](O[C@@H]1O[C@H](CO)[C@@H](O)[C@@H](O)[C@H]1O)[C@@H](O)[C@@H](C)[C@H]1CC[C@@]2(C)[C@@H]3C=C[C@@]45O[C@@H](O)C3(CC[C@]12C)[C@@H]4CC[C@H](O[C@@H]1O[C@H](CO)[C@@H](O)[C@@H](O)[C@H]1O)C5(C)C
Start Substs in Alk. Biosynthesis (Prediction)
Organism
Kingdom Family Species Reference
PlantaeCucurbitaceaeMomordica charantia Ref.
zoom in