input word = C00057676

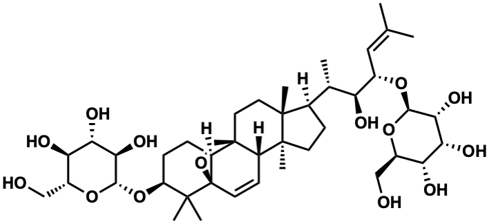
Metabolite InformationStructural formula
Name Momordicoside M
Formula C42H68O14
Mw 796.46090688
CAS RN 944711-20-0
C_ID C00057676
InChIKey UVPDCWZQGLOBOB-PKYQYSIISA-N
InChICode InChI=1S/C42H68O14/c1-20(2)16-23(53-36-34(50)32(48)30(46)24(17-43)54-36)29(45)21(3)22-10-12-40(7)26-11-13-42-27(41(26,19-52-42)15-14-39(22,40)6)8-9-28(38(42,4)5)56-37-35(51)33(49)31(47)25(18-44)55-37/h11,13,16,21-37,43-51H,8-10,12,14-15,17-19H2,1-7H3/t21-,22+,23-,24+,25+,26-,27-,28-,29-,30+,31+,32+,33-,34+,35+,36+,37-,39+,40-,41-,42+/m0/s1
SMILES CC(C)=C[C@H](O[C@@H]1O[C@H](CO)[C@@H](O)[C@@H](O)[C@H]1O)[C@@H](O)[C@@H](C)[C@H]1CC[C@@]2(C)[C@@H]3C=C[C@@]45OC[C@]3(CC[C@]12C)[C@@H]4CC[C@H](O[C@@H]1O[C@H](CO)[C@@H](O)[C@H](O)[C@H]1O)C5(C)C
Start Substs in Alk. Biosynthesis (Prediction)
Organism
Kingdom Family Species Reference
PlantaeCucurbitaceaeMomordica charantia Ref.
zoom in