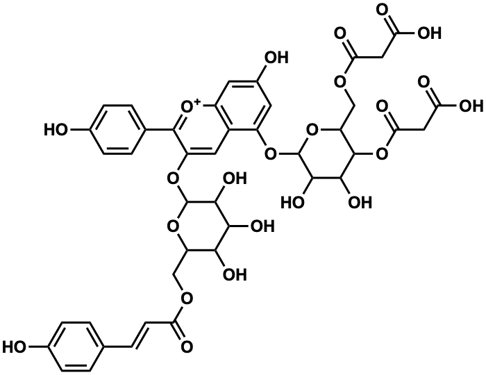
input word = C00057524

Metabolite InformationStructural formula
Name Monardein
Formula C42H41O23+
Mw 913.20386262
CAS RN 73545-87-6
C_ID C00057524
InChIKey HOQNHEQPPFYHLF-UHFFFAOYSA-O
InChICode InChI=1S/C42H40O23/c43-20-6-1-18(2-7-20)3-10-31(50)58-16-27-34(53)35(54)37(56)41(63-27)62-26-13-23-24(60-39(26)19-4-8-21(44)9-5-19)11-22(45)12-25(23)61-42-38(57)36(55)40(65-33(52)15-30(48)49)28(64-42)17-59-32(51)14-29(46)47/h1-13,27-28,34-38,40-42,53-57H,14-17H2,(H4-,43,44,45,46,47,48,49,50)/p+1
SMILES O=C(O)CC(=O)OCC1OC(Oc2cc(O)cc3[o+]c(-c4ccc(O)cc4)c(OC4OC(COC(=O)/C=C/c5ccc(O)cc5)C(O)C(O)C4O)cc23)C(O)C(O)C1OC(=O)CC(=O)O
Start Substs in Alk. Biosynthesis (Prediction)
Organism
Kingdom Family Species Reference
PlantaeLabiataeMonarda didyma Ref.
zoom in