input word = C00057466

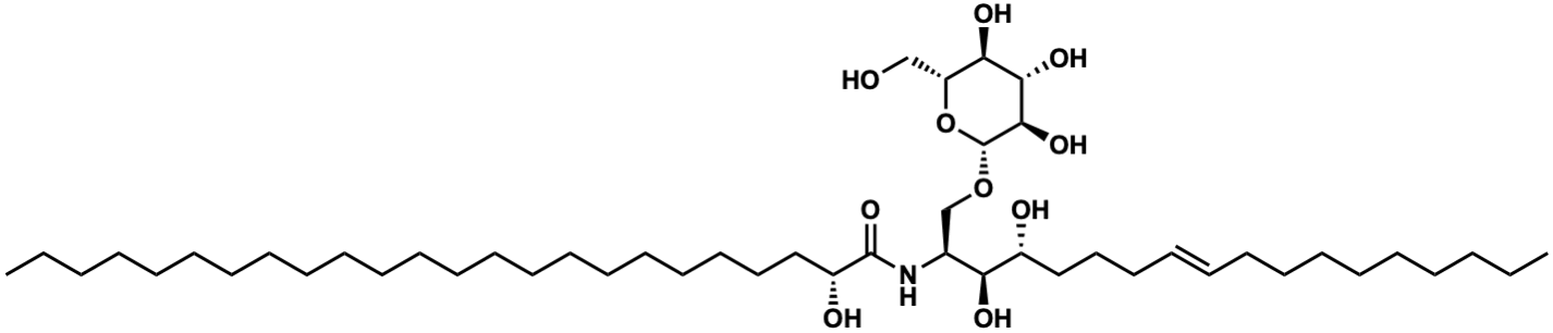
Metabolite InformationStructural formula
Name Momorcerebroside I
Formula C48H93NO10
Mw 843.6799482
CAS RN 606125-07-9
C_ID C00057466
InChIKey QZNIVVAKPLIDJX-BSLJDOEJSA-N
InChICode InChI=1S/C48H93NO10/c1-3-5-7-9-11-13-15-17-18-19-20-21-22-23-24-26-28-30-32-34-36-41(52)47(57)49-39(38-58-48-46(56)45(55)44(54)42(37-50)59-48)43(53)40(51)35-33-31-29-27-25-16-14-12-10-8-6-4-2/h27,29,39-46,48,50-56H,3-26,28,30-38H2,1-2H3,(H,49,57)/b29-27+/t39-,40+,41+,42+,43-,44+,45-,46+,48+/m0/s1
SMILES CCCCCCCCC/C=C/CCC[C@@H](O)[C@@H](O)[C@H](CO[C@@H]1O[C@H](CO)[C@@H](O)[C@H](O)[C@H]1O)NC(=O)[C@H](O)CCCCCCCCCCCCCCCCCCCCCC
Start Substs in Alk. Biosynthesis (Prediction)
Organism
Kingdom Family Species Reference
PlantaeCucurbitaceaeMomordica charantia Ref.
zoom in