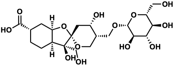
| Name |
Phyllaemblicin D |
| Formula |
C21H34O13 |
| Mw |
494.19994117 |
| CAS RN |
354994-30-2 |
| C_ID |
C00057362
|
| InChIKey |
MKVQPLIMYJILBG-NBSHRHPWSA-N |
| InChICode |
InChI=1S/C21H34O13/c22-5-14-15(25)16(26)17(27)19(33-14)31-6-10-7-32-21(4-12(10)24)20(30,8-23)11-2-1-9(18(28)29)3-13(11)34-21/h9-17,19,22-27,30H,1-8H2,(H,28,29)/t9-,10+,11-,12-,13+,14+,15+,16-,17+,19+,20-,21-/m0/s1 |
| SMILES |
O=C(O)[C@H]1CC[C@H]2[C@@H](C1)O[C@@]1(C[C@H](O)[C@H](CO[C@@H]3O[C@H](CO)[C@@H](O)[C@H](O)[C@H]3O)CO1)[C@]2(O)CO |
| Start Substs in Alk. Biosynthesis (Prediction) |
|
| Organism |
| Kingdom |
Family |
Species |
Reference |
| Plantae | Phyllanthaceae | Phyllanthus emblica  | Ref. |
|
|
zoom in
|