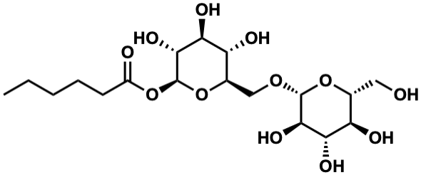
| Name |
Nonioside D |
| Formula |
C18H32O12 |
| Mw |
440.18937649 |
| CAS RN |
291293-50-0 |
| C_ID |
C00057330
|
| InChIKey |
HSEIACQHFYAWOA-NDYKIFPOSA-N |
| InChICode |
InChI=1S/C18H32O12/c1-2-3-4-5-10(20)30-18-16(26)14(24)12(22)9(29-18)7-27-17-15(25)13(23)11(21)8(6-19)28-17/h8-9,11-19,21-26H,2-7H2,1H3/t8-,9-,11-,12-,13+,14+,15-,16-,17-,18+/m1/s1 |
| SMILES |
CCCCCC(=O)O[C@@H]1O[C@H](CO[C@@H]2O[C@H](CO)[C@@H](O)[C@H](O)[C@H]2O)[C@@H](O)[C@H](O)[C@H]1O |
| Start Substs in Alk. Biosynthesis (Prediction) |
|
| Organism |
| Kingdom |
Family |
Species |
Reference |
| Plantae | Rubiaceae | Morinda citrifolia  | Ref. |
|
|
zoom in
|