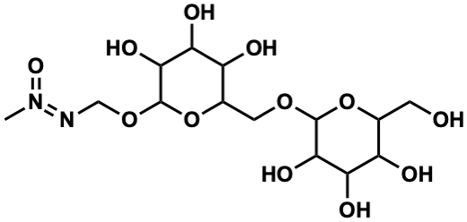
| Name |
Neocycasin B |
| Formula |
C14H26N2O12 |
| Mw |
414.14857431 |
| CAS RN |
2697-20-3 |
| C_ID |
C00057314
|
| InChIKey |
TUCYOFDDNLIGIA-NXVVXOECSA-N |
| InChICode |
InChI=1S/C14H26N2O12/c1-16(24)15-4-26-14-12(23)10(21)8(19)6(28-14)3-25-13-11(22)9(20)7(18)5(2-17)27-13/h5-14,17-23H,2-4H2,1H3/b16-15- |
| SMILES |
C/[N+]([O-])=N/COC1OC(COC2OC(CO)C(O)C(O)C2O)C(O)C(O)C1O |
| Start Substs in Alk. Biosynthesis (Prediction) |
|
| Organism |
| Kingdom |
Family |
Species |
Reference |
| Plantae | Cycadaceae | Cycas revoluta  | Ref. |
|
|
zoom in
|