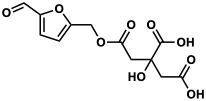
| Name |
Mumefural |
| Formula |
C12H12O9 |
| Mw |
300.04813198 |
| CAS RN |
222973-44-6 |
| C_ID |
C00057260
|
| InChIKey |
FYDIRKLRXHXXHY-UHFFFAOYSA-N |
| InChICode |
InChI=1S/C12H12O9/c13-5-7-1-2-8(21-7)6-20-10(16)4-12(19,11(17)18)3-9(14)15/h1-2,5,19H,3-4,6H2,(H,14,15)(H,17,18) |
| SMILES |
O=Cc1ccc(COC(=O)CC(O)(CC(=O)O)C(=O)O)o1 |
| Start Substs in Alk. Biosynthesis (Prediction) |
|
| Organism |
| Kingdom |
Family |
Species |
Reference |
| Plantae | Rosaceae | Prunus mume  | Ref. |
|
|
zoom in
|