input word = C00057235

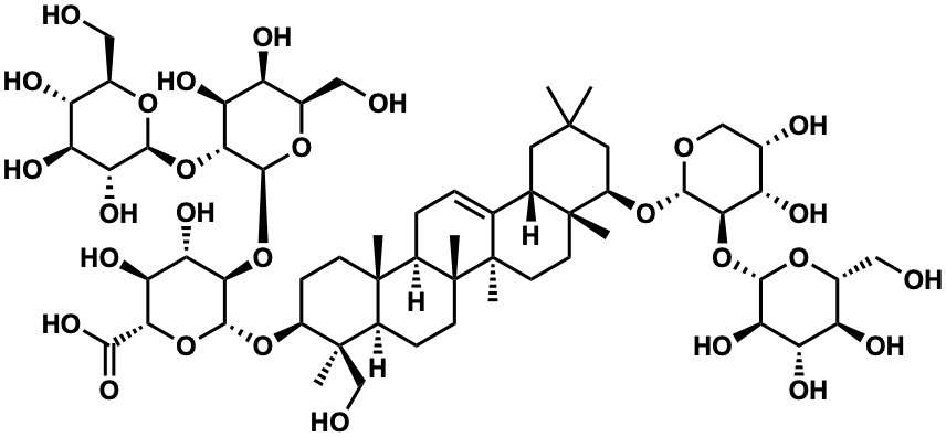
Metabolite InformationStructural formula
Name Phaseoside I
Formula C59H96O28
Mw 1252.60881249
CAS RN 208188-28-7
C_ID C00057235
InChIKey YCDYLWZIPLWKHF-NENFCDTPSA-N
InChICode InChI=1S/C59H96O28/c1-54(2)16-24-23-8-9-30-56(4)12-11-31(82-53-47(41(73)40(72)44(84-53)48(76)77)87-52-46(39(71)36(68)28(20-62)81-52)86-50-43(75)38(70)35(67)27(19-61)80-50)57(5,22-63)29(56)10-13-59(30,7)58(23,6)15-14-55(24,3)32(17-54)83-51-45(33(65)25(64)21-78-51)85-49-42(74)37(69)34(66)26(18-60)79-49/h8,24-47,49-53,60-75H,9-22H2,1-7H3,(H,76,77)/t24-,25-,26+,27+,28+,29+,30+,31-,32+,33-,34+,35+,36-,37-,38-,39-,40-,41-,42+,43+,44-,45+,46+,47+,49-,50-,51-,52-,53+,55+,56-,57+,58+,59+/m0/s1
SMILES CC1(C)C[C@@H](O[C@@H]2OC[C@H](O)[C@H](O)[C@H]2O[C@@H]2O[C@H](CO)[C@@H](O)[C@H](O)[C@H]2O)[C@]2(C)CC[C@]3(C)C(=CC[C@@H]4[C@@]5(C)CC[C@H](O[C@@H]6O[C@H](C(=O)O)[C@@H](O)[C@H](O)[C@H]6O[C@@H]6O[C@H](CO)[C@H](O)[C@H](O)[C@H]6O[C@@H]6O[C@H](CO)[C@@H](O)[C@H](O)[C@H]6O)[C@](C)(CO)[C@@H]5CC[C@]43C)[C@@H]2C1
Start Substs in Alk. Biosynthesis (Prediction)
Organism
Kingdom Family Species Reference
PlantaeFabaceaePhaseolus vulgaris Ref.
zoom in