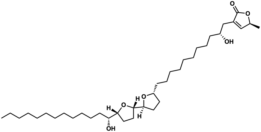
| Name |
Rollidecin D |
| Formula |
C37H66O6 |
| Mw |
606.48593984 |
| CAS RN |
200703-17-9 |
| C_ID |
C00057224
|
| InChIKey |
KEMYLKFITCBCHA-XVDUUFTGSA-N |
| InChICode |
InChI=1S/C37H66O6/c1-3-4-5-6-7-8-9-13-16-19-22-33(39)34-25-26-36(43-34)35-24-23-32(42-35)21-18-15-12-10-11-14-17-20-31(38)28-30-27-29(2)41-37(30)40/h27,29,31-36,38-39H,3-26,28H2,1-2H3/t29-,31+,32+,33+,34+,35-,36-/m0/s1 |
| SMILES |
CCCCCCCCCCCC[C@@H](O)[C@H]1CC[C@@H]([C@@H]2CC[C@@H](CCCCCCCCC[C@@H](O)CC3=C[C@H](C)OC3=O)O2)O1 |
| Start Substs in Alk. Biosynthesis (Prediction) |
|
| Organism |
| Kingdom |
Family |
Species |
Reference |
| Plantae | Annonaceae | Rollinia mucosa  | Ref. |
|
|
zoom in
|