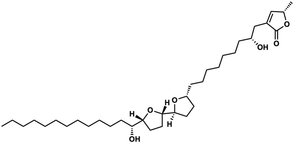
| Name |
Rollidecin C |
| Formula |
C35H62O6 |
| Mw |
578.45463971 |
| CAS RN |
200703-16-8 |
| C_ID |
C00057223
|
| InChIKey |
KVJOKNWVKJJSNO-JBSVHPCSSA-N |
| InChICode |
InChI=1S/C35H62O6/c1-3-4-5-6-7-8-9-10-14-17-20-31(37)32-23-24-34(41-32)33-22-21-30(40-33)19-16-13-11-12-15-18-29(36)26-28-25-27(2)39-35(28)38/h25,27,29-34,36-37H,3-24,26H2,1-2H3/t27-,29+,30+,31+,32+,33-,34-/m0/s1 |
| SMILES |
CCCCCCCCCCCC[C@@H](O)[C@H]1CC[C@@H]([C@@H]2CC[C@@H](CCCCCCC[C@@H](O)CC3=C[C@H](C)OC3=O)O2)O1 |
| Start Substs in Alk. Biosynthesis (Prediction) |
|
| Organism |
| Kingdom |
Family |
Species |
Reference |
| Plantae | Annonaceae | Rollinia mucosa  | Ref. |
|
|
zoom in
|