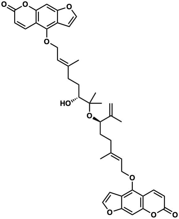
| Name |
Paradisin B |
| Formula |
C42H44O10 |
| Mw |
708.29344763 |
| CAS RN |
198343-06-5 |
| C_ID |
C00057215
|
| InChIKey |
ZXUKAZPCOMPMHC-BDHXJHTBSA-N |
| InChICode |
InChI=1S/C42H44O10/c1-25(2)32(11-7-26(3)15-19-48-40-28-9-13-38(44)50-35(28)23-33-30(40)17-21-46-33)52-42(5,6)37(43)12-8-27(4)16-20-49-41-29-10-14-39(45)51-36(29)24-34-31(41)18-22-47-34/h9-10,13-18,21-24,32,37,43H,1,7-8,11-12,19-20H2,2-6H3/b26-15+,27-16+/t32-,37-/m1/s1 |
| SMILES |
C=C(C)[C@@H](CC/C(C)=C/COc1c2ccoc2cc2oc(=O)ccc12)OC(C)(C)[C@H](O)CC/C(C)=C/COc1c2ccoc2cc2oc(=O)ccc12 |
| Start Substs in Alk. Biosynthesis (Prediction) |
|
| Organism |
| Kingdom |
Family |
Species |
Reference |
| Plantae | Rutaceae | Citrus paradisi  | Ref. |
|
|
zoom in
|