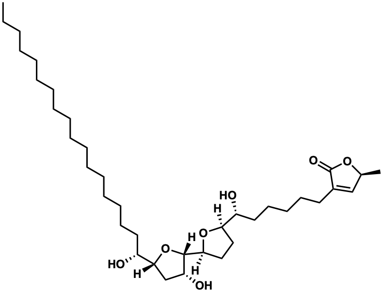
| Name |
Mucoxin |
| Formula |
C37H66O7 |
| Mw |
622.48085446 |
| CAS RN |
183195-99-5 |
| C_ID |
C00057170
|
| InChIKey |
DVOUJRUFCBNRQW-QSABDBJUSA-N |
| InChICode |
InChI=1S/C37H66O7/c1-3-4-5-6-7-8-9-10-11-12-13-14-15-16-19-23-31(39)35-27-32(40)36(44-35)34-25-24-33(43-34)30(38)22-20-17-18-21-29-26-28(2)42-37(29)41/h26,28,30-36,38-40H,3-25,27H2,1-2H3/t28-,30+,31+,32+,33+,34-,35+,36-/m0/s1 |
| SMILES |
CCCCCCCCCCCCCCCCC[C@@H](O)[C@H]1C[C@@H](O)[C@@H]([C@@H]2CC[C@H]([C@H](O)CCCCCC3=C[C@H](C)OC3=O)O2)O1 |
| Start Substs in Alk. Biosynthesis (Prediction) |
|
| Organism |
| Kingdom |
Family |
Species |
Reference |
| Plantae | Annonaceae | Rollinia mucosa  | Ref. |
|
|
zoom in
|