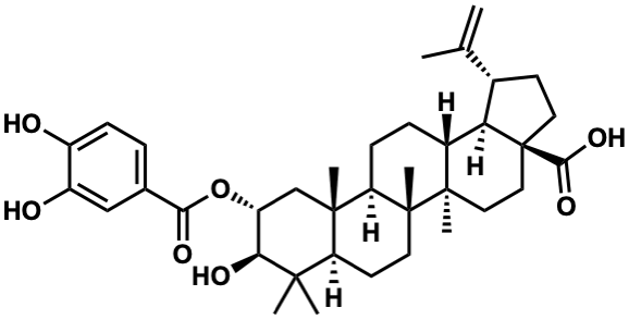
input word = C00057168

Metabolite InformationStructural formula
Name 2-O-Protocatechuoylalphitolic acid
Formula C37H52O7
Mw 608.37130401
CAS RN 182682-95-7
C_ID C00057168
InChIKey MKDOBXUKRMFQNI-JFJOLGLVSA-N
InChICode InChI=1S/C37H52O7/c1-20(2)22-12-15-37(32(42)43)17-16-35(6)23(29(22)37)9-11-28-34(5)19-26(44-31(41)21-8-10-24(38)25(39)18-21)30(40)33(3,4)27(34)13-14-36(28,35)7/h8,10,18,22-23,26-30,38-40H,1,9,11-17,19H2,2-7H3,(H,42,43)/t22-,23+,26+,27-,28+,29+,30-,34-,35+,36+,37-/m0/s1
SMILES C=C(C)[C@@H]1CC[C@]2(C(=O)O)CC[C@]3(C)[C@H](CC[C@@H]4[C@@]5(C)C[C@@H](OC(=O)c6ccc(O)c(O)c6)[C@H](O)C(C)(C)[C@@H]5CC[C@]43C)[C@@H]12
Start Substs in Alk. Biosynthesis (Prediction)
Organism
Kingdom Family Species Reference
PlantaeRhamnaceaeZizyphus jujuba Ref.
zoom in