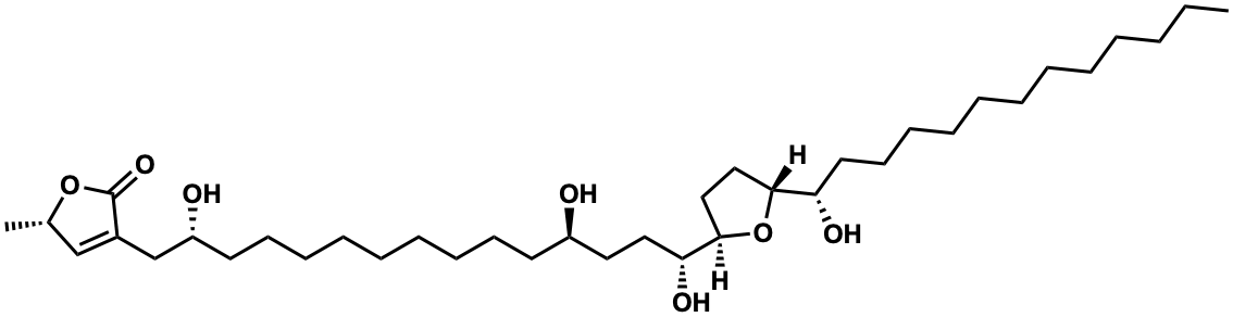
| Name |
Rollinecin A |
| Formula |
C37H68O7 |
| Mw |
624.49650453 |
| CAS RN |
177861-02-8 |
| C_ID |
C00057153
|
| InChIKey |
XNZJLZFJXAKNCP-NDTIKHGFSA-N |
| InChICode |
InChI=1S/C37H68O7/c1-3-4-5-6-7-8-9-13-16-19-22-33(40)35-25-26-36(44-35)34(41)24-23-31(38)20-17-14-11-10-12-15-18-21-32(39)28-30-27-29(2)43-37(30)42/h27,29,31-36,38-41H,3-26,28H2,1-2H3/t29-,31+,32+,33-,34+,35+,36+/m0/s1 |
| SMILES |
CCCCCCCCCCCC[C@H](O)[C@H]1CC[C@H]([C@H](O)CC[C@H](O)CCCCCCCCC[C@@H](O)CC2=C[C@H](C)OC2=O)O1 |
| Start Substs in Alk. Biosynthesis (Prediction) |
|
| Organism |
| Kingdom |
Family |
Species |
Reference |
| Plantae | Annonaceae | Rollinia mucosa  | Ref. |
|
|
zoom in
|