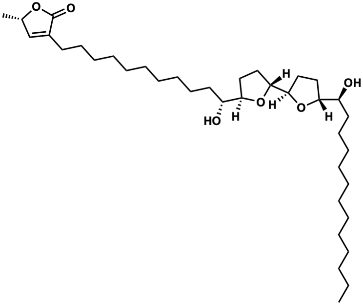
| Name |
Neoannonin B |
| Formula |
C37H66O6 |
| Mw |
606.48593984 |
| CAS RN |
1400908-74-8 |
| C_ID |
C00057137
|
| InChIKey |
SOAPDULPHQDKCM-HJPPHTJLSA-N |
| InChICode |
InChI=1S/C37H66O6/c1-3-4-5-6-7-8-9-13-16-19-22-31(38)33-24-26-35(42-33)36-27-25-34(43-36)32(39)23-20-17-14-11-10-12-15-18-21-30-28-29(2)41-37(30)40/h28-29,31-36,38-39H,3-27H2,1-2H3/t29-,31-,32+,33+,34+,35+,36+/m0/s1 |
| SMILES |
CCCCCCCCCCCC[C@H](O)[C@H]1CC[C@H]([C@H]2CC[C@H]([C@H](O)CCCCCCCCCCC3=C[C@H](C)OC3=O)O2)O1 |
| Start Substs in Alk. Biosynthesis (Prediction) |
|
| Organism |
| Kingdom |
Family |
Species |
Reference |
| Plantae | Annonaceae | Annona squamosa  | Ref. |
|
|
zoom in
|