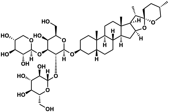
input word = C00057135

Metabolite InformationStructural formula
Name Schidigerasaponin D2
Formula C44H72O17
Mw 872.47695088
CAS RN 168960-80-3
C_ID C00057135
InChIKey ZAZNQYAHJWQLHA-UVTPNBFJSA-N
InChICode InChI=1S/C44H72O17/c1-19-7-12-44(55-17-19)20(2)30-27(61-44)14-25-23-6-5-21-13-22(8-10-42(21,3)24(23)9-11-43(25,30)4)56-41-38(60-40-36(53)34(51)32(49)28(15-45)57-40)37(33(50)29(16-46)58-41)59-39-35(52)31(48)26(47)18-54-39/h19-41,45-53H,5-18H2,1-4H3/t19-,20-,21+,22-,23+,24-,25-,26+,27-,28+,29+,30-,31-,32+,33-,34-,35+,36+,37-,38+,39-,40-,41+,42-,43-,44+/m0/s1
SMILES C[C@H]1CC[C@@]2(OC1)O[C@H]1C[C@H]3[C@@H]4CC[C@@H]5C[C@@H](O[C@@H]6O[C@H](CO)[C@H](O)[C@H](O[C@@H]7OC[C@@H](O)[C@H](O)[C@H]7O)[C@H]6O[C@@H]6O[C@H](CO)[C@@H](O)[C@H](O)[C@H]6O)CC[C@]5(C)[C@H]4CC[C@]3(C)[C@H]1[C@@H]2C
Start Substs in Alk. Biosynthesis (Prediction)
Organism
Kingdom Family Species Reference
PlantaeAgavaceaeYucca schidigera Ref.
zoom in