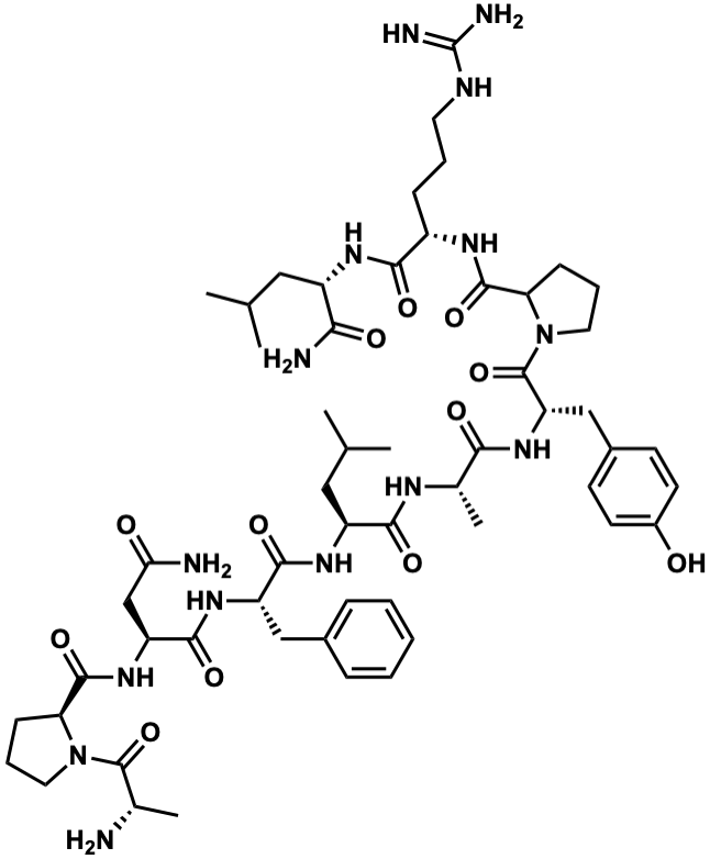
input word = C00057094

Metabolite InformationStructural formula
Name Mytilus SCP
Formula C56H85N15O12
Mw 1159.65021329
CAS RN 150213-97-1
C_ID C00057094
InChIKey KGNBMVHUZCHPPM-GSUZWKSMSA-N
InChICode InChI=1S/C56H85N15O12/c1-30(2)25-38(46(59)74)65-48(76)37(15-10-22-62-56(60)61)64-52(80)44-17-12-24-71(44)55(83)42(28-35-18-20-36(72)21-19-35)69-47(75)33(6)63-49(77)39(26-31(3)4)66-50(78)40(27-34-13-8-7-9-14-34)67-51(79)41(29-45(58)73)68-53(81)43-16-11-23-70(43)54(82)32(5)57/h7-9,13-14,18-21,30-33,37-44,72H,10-12,15-17,22-29,57H2,1-6H3,(H2,58,73)(H2,59,74)(H,63,77)(H,64,80)(H,65,76)(H,66,78)(H,67,79)(H,68,81)(H,69,75)(H4,60,61,62)/t32-,33-,37-,38-,39-,40-,41-,42-,43-,44?/m0/s1
SMILES CC(C)C[C@H](NC(=O)[C@H](CCCNC(=N)N)NC(=O)C1CCCN1C(=O)[C@H](Cc1ccc(O)cc1)NC(=O)[C@H](C)NC(=O)[C@H](CC(C)C)NC(=O)[C@H](Cc1ccccc1)NC(=O)[C@H](CC(N)=O)NC(=O)[C@@H]1CCCN1C(=O)[C@H](C)N)C(N)=O
Start Substs in Alk. Biosynthesis (Prediction)
Organism
Kingdom Family Species Reference
--Mytilus edulis Ref.
zoom in