input word = C00057075

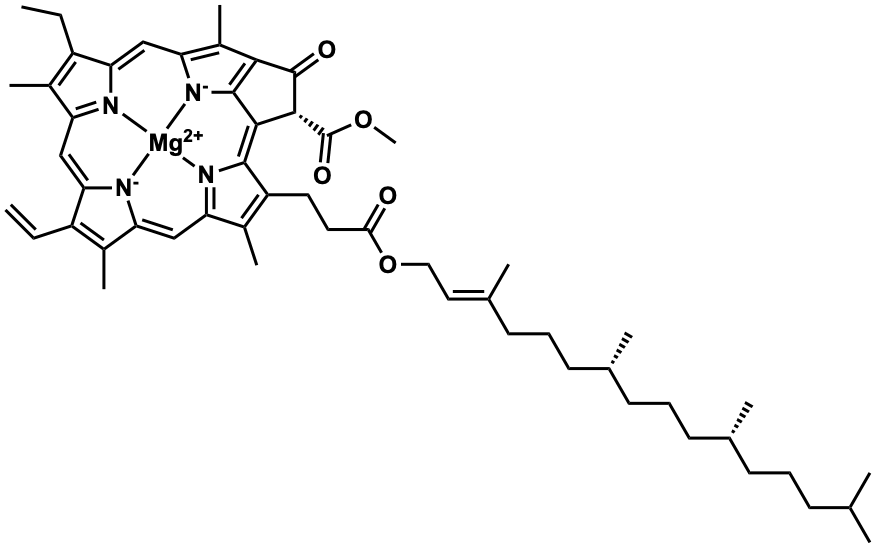
Metabolite InformationStructural formula
Name Monovinyl protochlorophyllide
Formula C55H70MgN4O5
Mw 890.51966324
CAS RN 14751-08-7
C_ID C00057075
InChIKey DASFNRASQHZIIW-NUBLUYEASA-M
InChICode InChI=1S/C55H71N4O5.Mg/c1-13-39-35(8)42-28-44-37(10)41(24-25-48(60)64-27-26-34(7)23-17-22-33(6)21-16-20-32(5)19-15-18-31(3)4)52(58-44)50-51(55(62)63-12)54(61)49-38(11)45(59-53(49)50)30-47-40(14-2)36(9)43(57-47)29-46(39)56-42;/h13,26,28-33,51H,1,14-25,27H2,2-12H3,(H-,56,57,58,59,61);/q-1;+2/p-1/b34-26+,42-28-,43-29-,44-28-,45-30-,46-29-,47-30-,52-50-;/t32-,33-,51-;/m1./s1
SMILES C=Cc1c(C)c2cc3nc(c4c5[n-]c(cc6nc(cc1[n-]2)C(C)=C6CC)c(C)c5C(=O)[C@@H]4C(=O)OC)C(CCC(=O)OC/C=C(C)CCC[C@H](C)CCC[C@H](C)CCCC(C)C)=C3C.[Mg+2]
Start Substs in Alk. Biosynthesis (Prediction)
Organism
Kingdom Family Species Reference
PlantaeCucurbitaceaeCucurbita pepo Ref.
zoom in