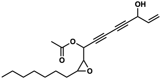
| Name |
Panaquinquecol 6 |
| Formula |
C19H26O4 |
| Mw |
318.18310932 |
| CAS RN |
145400-15-3 |
| C_ID |
C00057070
|
| InChIKey |
GWHBQXMCXHWXBO-UHFFFAOYSA-N |
| InChICode |
InChI=1S/C19H26O4/c1-4-6-7-8-9-13-18-19(23-18)17(22-15(3)20)14-11-10-12-16(21)5-2/h5,16-19,21H,2,4,6-9,13H2,1,3H3 |
| SMILES |
C=CC(O)C#CC#CC(OC(C)=O)C1OC1CCCCCCC |
| Start Substs in Alk. Biosynthesis (Prediction) |
|
| Organism |
| Kingdom |
Family |
Species |
Reference |
| Plantae | Araliaceae | Panax quinquefolium  | Ref. |
|
|
zoom in
|