input word = C00057017

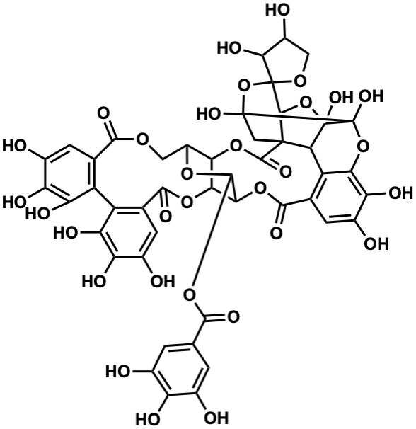
Metabolite InformationStructural formula
Name Putranjivain A
Formula C46H36O31
Mw 1084.12405444
CAS RN 131959-62-1
C_ID C00057017
InChIKey KCGMOSICDALEEK-USMOFOQTSA-N
InChICode InChI=1S/C46H36O31/c47-13-1-9(2-14(48)23(13)53)35(60)74-39-32-31-29(19(70-39)7-68-36(61)10-3-15(49)24(54)27(57)20(10)21-11(37(62)71-31)4-16(50)25(55)28(21)58)73-41(64)42-8-43(65)46(67)45(66,76-40(42)44(77-43)34(59)18(52)6-69-44)33(42)22-12(38(63)72-32)5-17(51)26(56)30(22)75-46/h1-5,18-19,29,31-34,39-40,47-59,65-67H,6-8H2/t18?,19-,29-,31+,32-,33?,34?,39+,40?,42?,43?,44?,45?,46?/m0/s1
SMILES O=C(OC1OC2COC(=O)c3cc(O)c(O)c(O)c3-c3c(cc(O)c(O)c3O)C(=O)OC3C2OC(=O)C24CC5(O)OC6(OCC(O)C6O)C2OC2(O)C4c4c(cc(O)c(O)c4OC52O)C(=O)OC13)c1cc(O)c(O)c(O)c1
Start Substs in Alk. Biosynthesis (Prediction)
Organism
Kingdom Family Species Reference
PlantaePhyllanthaceaePhyllanthus emblica Ref.
zoom in